Главная >> Финансовый менеджмент: теория и практика. Ковалев. В.В.

Процентные ставки и методы их начисления

6.3.1. Понятия простого и сложного процентов

Процентные ставки и методы их начисления

Ссудозаемные операции, составляющие основу коммерческих вычислений, имеют давнюю историю. Именно в этих операциях и проявляется прежде всего необходимость учета временной ценности денег. Несмотря на то что в основе расчетов при анализе эффективности ссудозаемных операций заложены простейшие, на первый взгляд, схемы начисления процентов, эти расчеты многообразны ввиду вариабельности условий финансовых контрактов в отношении частоты и способов начисления, а также вариантов предоставления и погашения ссуд.

Понятия простого и сложного процентов

Предоставляя свои денежные средства в долг, их владелец получает определенный доход в виде процентов, начисляемых по некоторому алгоритму в течение определенного промежутка времени. Поскольку стандартным временным интервалом в финансовых операциях является один год, наиболее распространен вариант, когда процентная ставка устанавливается в виде годовой ставки, подразумевающей однократное начисление процентов по истечении года после получения ссуды. Известны две основные схемы дискретного начисления: схема простых процентов (simple interest) и схема сложных процентов (compound interest).

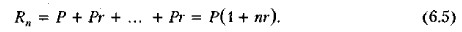
Схема простых процентов предполагает неизменность базы, с которой происходит начисление. Пусть исходный инвестируемый капитал равен Р; требуемая доходность — r (в долях единицы). Считается, что инвестиция сделана на условиях простого процента, если инвестированный капитал ежегодно увеличивается на величину Рr, Таким образом, размер инвестированного капитала (Rn) через n лет будет равен

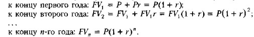
Считается, что инвестиция сделана на условиях сложного процента, если очередной годовой доход исчисляется не с исходной величины инвестированного капитала, а с общей суммы, включающей ранее начисленные и не востребованные инвестором проценты. В этом случае происходит капитализация процентов по мере их начисления, т. е. база, с которой начисляются проценты, все время возрастает. Следовательно, размер инвестированного капитала будет равен

Как же соотносятся величины Rn и FVn? Это чрезвычайно важно знать при проведении финансовых операций. Все зависит от величины n. Сравним множители наращения по простым и сложным процентам, т. е. сравним (1 + nr) и (1 + r)n. Очевидно, что при n = 1 эти множители совпадают и равны (1 + r). Можно пока зать, что при любом r справедливы неравенства (1 + nr) > (1 + r)n, если 0 < n < 1 и (1 + nr) < (1 + r)n, если n > 1. Итак,

• Rn > FVn при 0 < n < 1;
• Rn < FVn при n > 1

Продолжение >>>

 

 

???????@Mail.ru