Главная >> Финансовый менеджмент: теория и практика. Ковалев. В.В.

Процентные ставки и методы их начисления

6.3.2. Области применения схемы простых процентов (продолжение)

В практическом смысле эффект от выбора того или иного способа зависит от значительности суммы, фигурирующей в финансовой операции. Но и так ясно, что использование обыкновенных процентов с точным числом дней ссуды, как правило, дает больший результат, чем применение обыкновенных процентов с приближенным числом дней пользования кредитом.

    Пример

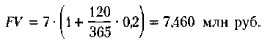
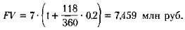
    Предоставлен кредит в размере 7 млн руб, 10 февраля с погашением 10 июня под 20% годовых (год невисокосный). Рассчитать разными способами сумму к погашению (FV).

    Решение

    Величина уплачиваемых за пользование кредитом процентов зависит от числа дней, которое берется в расчет. Точное число дней определяется но таблице с номерами дней года (см. Приложение 4): 161 — 41 = 120 дн. Приближенное число дней кредита рассчитывается следующим образом: 18 дней февраля (59 — 41)+ 90 дн. (по 30 дней каждого из трех месяцев: март, апрель, май) + 10 дней июня - 118 дн.

    Возможные варианты возврата долга определяются с помощью формулы (6.7):

    1. В расчет принимаются точные проценты и точное число дней пользования кредитом.

    2. В расчет принимаются обыкновенные проценты гг точное число дней пользования кредитом.

    3. В расчет принимаются обыкновенные проценты и приближенное число дней пользования кредитом.

Учет векселя банком. Это еще одна весьма распространенная операция краткосрочного характера, для оценки которой используется схема простых процентов, с тем лишь отличием, что в расчете применяется дисконтная ставка. Одна из причин состоит в том, что векселя могут оформляться по-разному, однако чаще всего банку приходится иметь дело с суммой к погашению, т. е. с величиной FV. Схема действий в этом случае может быть следующей.

Владелец векселя на сумму FV предъявляет его банку, который соглашается учесть его, т. е. купить, удерживая в свою пользу часть вексельной суммы, которая нередко также называется дисконтом. В этом случае банк предлагает владельцу сумму (PV), исчисляемую, исходя из объявленной банком ставки дисконтирования (d). Очевидно, что чем выше значение дисконтной ставки, тем большую сумму удерживает банк в свою пользу. Расчет выдаваемой банком суммы ведется с помощью одного из представлений формулы (6.8), являющейся следствием формулы (6.4):

Расчет выдаваемой банком суммы ведется с помощью одного из представлений формулы

    Пример

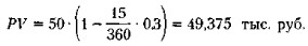
    Векселедержатель предъявил для учета вексель на сумму 50 тыс. руб. со сроком погашения 28.09.2006 г. Вексель предъявлен 13.09.2006 г. Банк согласился учесть вексель по учетной ставке 30% годовых. Определить сумму, которую векселедержатель получит от банка.

    Величина этой суммы рассчитывается по формуле (6.8) и составит

    Разность между FV (номинальной величиной векселя) и PV (дисконтированной величиной векселя) представляет собой комиссионные, удерживаемые банком в свою пользу за предоставленную услугу; в данном примере она составила 625 руб.

Можно выполнить и более глубокий факторный анализ. Дело в том, что доход банка при учете векселя складывается из двух частей: процентов по векселю, причитающихся за время, оставшееся до момента погашения векселя, и собственно комиссионных за предоставленную услугу. Как уже упоминалось выше, теоретическая дисконтная ставка меньше процентной. Однако на практике, устанавливая дисконтную ставку, банк, как правило, повышает ее в зависимости от условий, на которых выдан вексель, риска, связанного с его погашением, комиссионных, которые банк считает целесообразным получить за оказанную услугу, и т. п. Поскольку величина процентов по векселю за период с момента учета до момента погашения предопределена, банк может варьировать лишь размером комиссионных путем изменения учетной ставки. Прежде чем рассмотреть пример, изложим логику факторного анализа дохода банка в этом случае.

Введем следующие обозначения; PV — стоимость векселя в момент его оформления; Р1 — теоретическая стоимость векселя в момент учета; Р2 — предлагаемая банком сумма в обмен на вексель; FV — стоимость векселя к погашению; — общий доход банка от операции.

<<< К началу      Окончание >>>

 

 

???????@Mail.ru