Главная >> Финансовый менеджмент: теория и практика. Ковалев. В.В.

Процентные ставки и методы их начисления

6.3.6. Эффективная годовая процентная ставка

Различными видами финансовых контрактов могут предусматриваться различные схемы начисления процентов. Как правило, в этих контрактах оговаривается номинальная процентная ставка, обычно годовая. Эта ставка, во-первых, не отражает реальной эффективности сделки и, во-вторых, не может быть использована для сопоставлений. Для того чтобы обеспечить сравнительный анализ эффективности таких контрактов, необходимо выбрать некий показатель, который был бы универсальным для любой схемы начисления. Таким показателем является эффективная годовая процентная ставка rе, обеспечивающая переход от Р к FVn при заданных значениях этих показателей и однократном начислении процентов.

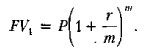
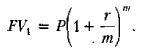
Общая постановка задачи может быть сформулирована следующим образом. Задана исходная сумма Р, годовая процентная ставка (номинальная) r, число начислений сложных процентов m. Этому набору исходных величин в рамках одного года соответствует вполне определенное значение наращенной величины FVt. Требуется найти такую годовую ставку rе, которая обеспечила бы точно такое же наращение, как и исходная схема, но при однократном начислении процентов, т. е. при m = 1. Иными словами, схемы {Р, FVt, r, m > 1} и {Р, FV1 , re, m = 1} должны быть равносильными.

Из формулы (6.10) следует, что в рамках одного года

Из определения эффективной годовой процентной ставки следует, что

В левой части каждого из двух уравнений — одна и та же величина, а потому, приравнивая правые части уравнений, находим формулу взаимосвязи эффективной и номинальной ставок

Из формулы (6.18) следует, что эффективная ставка ге зависит от количества внутригодовых начислений, причем с ростом m она увеличивается. Кроме того, с помощью (6.18) для каждой номинальной ставки r можно найти соответствующую ей эффективную ставку; две эти ставки совпадают лишь при m = 1 Именно ставка rе является критерием эффективности финансовой сделки и может быть использована для пространственно-временных сопоставлений.

    Пример

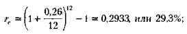
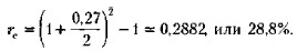
    Предприниматель может получить ссуду на условиях: 1) либо ежемесячного начисления процентов из расчета 26% годовых, 2) либо полугодового начисления процентов из расчета 27% годовых. Какой вариант более предпочтителен?

    Решение

    Относительные расходы предпринимателя по обслуживанию ссуды могут быть определены с помощью расчета эффективной годовой процентной ставки. Чем она выше, тем больше уровень расходов. По формуле (6.18)

    вариант (1):

    вариант (2):

    Таким образом, вариант (2) является более предпочтительным для предпринимателя. Необходимо отметить, что принятие решения не зависит от величины кредита, поскольку критерием является относительный показатель — эффективная ставка, а она, как следует из формулы (6.18), зависит лишь от номинальной ставки и количества начислений.

Окончание >>>

 

 

???????@Mail.ru