Главная >> Финансовый менеджмент: теория и практика. Ковалев. В.В.

Будущая и дисконтированная стоимости: экономический смысл и техника расчета

6.4.2. Дисконтированная стоимость единичного платежа (продолжение)

Величина дисконтированной стоимости зависит от ставки дисконтирования: чем больше ставка, тем меньше дисконтированная стоимость. Отсюда следует важный вывод: каждому фиксированному значению ожидаемой в будущем к получению величины может соответствовать несколько значений дисконтированной стоимости, в зависимости от того, какая ставка дисконтирования выбрана аналитиком. Иными словами, дисконтированная стоимость не есть жестко предопределенная величина, она многозначна. Это свойство операции дисконтирования будет использоваться нами неоднократно при характеристике методов оценки финансовых активов.

Экономический смысл операции, проиллюстрированной на рис. 6.6, очевиден: величина PV означает оценку величины CFn с позиции более раннего момента времени; при этом принимается во внимание временная ценность денежных средств. Последнее означает, что PV практически всегда должна быть меньше CFn (поскольку знаменатель дроби больше единицы), т. е. PV означает более осторожную оценку обещаемой в будущем к поступлению величины CFn (несложно понять, что совпадение величин CFn и PV, привязанных к разным моментам времени, возможно лишь при r = 0).

В отношении отмеченных на оси абсцисс точек 0, k и n можно сказать следующее. В принципе, точка 0 может находиться в любом месте по отношению к интервалу {k, n}. Единственное условие, которое должно выполняться, таково: n > k. На практике чаще всего временные моменты 0 и k совпадают.

Как и в случае с наращением, дисконтирование может осуществляться с помощью разных функциональных зависимостей; кроме того, может по-разному дробиться общая продолжительность финансовой операции на базисные периоды. Все это будет приводить к вполне естественному различию в результате дисконтирования, т. е. сумма PV будет меняться. В финансовых операциях (особенно долгосрочного характера) в дисконтировании применяют схему сложных процентов, а базисным периодом считается год.

    Пример

    Инвестору через 4 года понадобится сумма 4500 тыс. руб. Один из вариантов ее накопления — банковский депозит. Какую сумму надо разместить на депозите, если банк предлагает ежегодное начисление процентов по ставке 12% годовых?

    Решение

    Таким образом, в банк надо вложить 2862 тыс. руб., чтобы через 4 года получить 4500 тыс. руб.; величина 2862 тыс. руб. представляет собой дисконтированную стоимость величины 4500 тыс. руб. Для инвестора с учетом временного фактора и приемлемой доходности две эти величины равны по своей ценности.

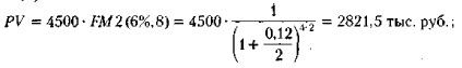
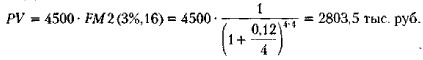
    Заметим, что если условия банка меняются, меняется и значение дисконтированной величины. Предположим, что договором предусматривается (1) полугодовое, (2) ежеквартальное начисление процентов. В этом случае значения дисконтированной стоимости будут соответственно равны:

    вариант (1)

    вариант (2)

<<< К началу      Окончание >>>

 

 

???????@Mail.ru