Главная >> Финансовый менеджмент

Оценка денежного потока с неравными поступлениями

Оценка потока пренумерандо

Логика оценки денежного потока в этом случае аналогична вышеописанной. Некоторое расхождение в вычислительных формулах объясняется сдвигом элементов потока к началу соответствующих базисных подынтервалов. Для прямой задачи схема наращения приведена на рис. 6.10.

Схема наращения элементов денежного потока пренумерандо

Сравнивая рис. 6.8 и 6.10, несложно понять, что различие между потоками пост- и пренумерандо заключается лишь в том, что поток пренумерандо сдвинут влево на один интервал. Это приводит к дополнительному однократному начислению процентов, а формула расчета будущей стоимости потока пренумерандо будет иметь вид (это видно из рис. 6.10)

формула расчета будущей стоимости потока пренумерандо

Отсюда с очевидностью следует, что в общем случае:

Итак, взаимосвязь между стоимостными оценками потоков пост- и пренумерандо выражается следующей формулой:

взаимосвязь между стоимостными оценками потоков пост- и пренумерандо выражается следующей формулой

Иными словами, схема потока пренумерандо более выгодна для накопления денежных средств, нежели схема постнумерандо.

Для обратной задачи схема дисконтирования, т. е. приведения всех элементов исходного потока в точку 0, может быть представлена рис. 6.11.

Схема дисконтирования элементов денежного потока пренумерандо

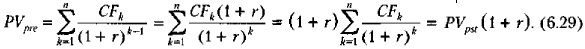
Сравнивая рис. 6.11 и 6.9, вновь видим, что различие между потоками пост- и пренумерандо заключается лишь в том, что поток пренумерандо сдвинут влево на один интервал. Это приводит к уменьшению делителя на величину (1 + r). Действительно, элемент CF1 уже находится в начале 1 -го базисного интервала, т. е. в точке 0, а потому дисконтирование не требуется; элемент CF2 отдален от точки 0 на один интервал, а потому его дисконтирование сводится к делению на (1 + r), и т. д. После приведения всех элементов потока в точку 0 их можно просуммировать.

Таким образом, в общем виде формула для исчисления дисконтированной стоимости потока пренумерандо имеет следующее представление:

общем виде формула для исчисления дисконтированной стоимости потока пренумерандо имеет следующее представление

Иными словами, как и в случае с будущей стоимостью, дисконтированная стоимость потока пренумерандо превышает дисконтированную стоимость соответствующего потока постнумерандо на величину (1 + r). Так, если в предыдущем примере предположить, что исходный поток представляет собой поток пренумерандо, то его дисконтированная стоимость будет равна:

PVpre =PVpst(1 + r) = 44,97 • 1,12 = 50,37 млн руб.

 

 

???????@Mail.ru