Главная >> Химия 10 класс. ГДЗ. Габриелян. Базовый уровень

Глава 2. Кислород- и азотсодержащие органические соединения и их природные источники

Альдегиды и кетоны. Ответы

Ответ на вопрос 1

Альдегиды и кетоны. Ответ на вопрос 1

Ответ на вопрос 2

Альдегиды и кетоны. Ответ на вопрос 2

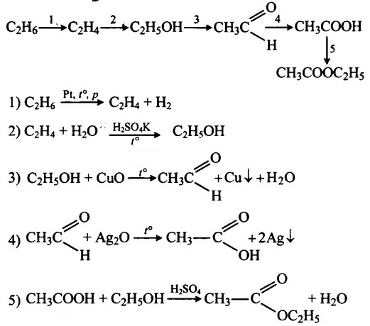
Ответ на вопрос 3

Альдегиды и кетоны. Ответ на вопрос 3

Ответ на вопрос 4

Альдегиды и кетоны. Ответ на вопрос 4

Ответ на вопрос 5

Альдегиды и кетоны. Ответ на вопрос 5

Ответ на вопрос 6

Альдегиды и кетоны. Ответ на вопрос 6

Ответ на вопрос 7

Альдегиды и кетоны. Ответ на вопрос 7

 

 

???????@Mail.ru