Главная >> Химия 10 класс. Базовый уровень. Кузнецова

Глава 5. Углеводороды

Алкадиены. Строение, свойства, применение

Б. Полимеризация

Полимеризация диеновых углеводородов происходит в присутствии инициатора — металлического натрия. Это свойство алкадиенов имеет огромное практическое значение, так как оно лежит в основе производства синтетического каучука. Каучук применяется для изготовления автомобильных, аэропланных, велосипедных камер и покрышек, резиновой обуви, многочисленных медицинских изделий, для изоляции электрических проводов и др. Для получения каучуков, обладающих высокими техническими характеристиками, в качестве катализаторов в настоящее время используют металлоорганические соединения (алюминий- или литийорганические).

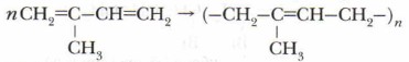
Природный каучук. Натуральный каучук (природный полимер) получают из млечного сока каучуконосных растений, преимущественно из гевеи бразильской. Бразилия — родина натурального каучука. Каучук — твёрдое вещество, обладающее важными свойствами: водо- и газонепроницаемостью; имеет большую молекулярную массу 150 000—500 000. Макромолекулы природного каучука, имеющие линейную структуру, свёрнуты в клубок. При воздействии силы каучук может растягиваться, а после снятия нагрузки он сжимается, принимая прежнюю форму. Это ценное свойство каучука называется эластичностью. Природный каучук благодаря эластичности очень устойчив к износу. Однако при повышенной температуре каучук становится мягким и липким, теряет эластичность, размягчается, в своё прежнее состояние не возвращается. При дальнейшем нагревании он плавится. На холоде каучук становится твёрдым и хрупким. Исследования показали, что при нагревании натурального каучука основным продуктом разложения является изопрен — диеновый углеводород. Следовательно, натуральный каучук является природным полимером, макромолекулы которого состоят из звеньев (—С5Н8—). Запишем схему реакции полимеризации изопрена при образовании натурального каучука:

Наличие двойной связи говорит о том, что натуральный каучук является непредельным углеводородным полимером.

    Лабораторный опыт. Заранее растворите каучук в органическом растворителе (ацетоне). Разлейте полученный раствор в две пробирки. В одну пробирку добавьте бромну ю воду, в другую — раствор перманганата калия. Что вы наблюдаете?

При изучении свойств каучука выяснилось, что при нагревании с серой он становится более прочным. Атомы серы вступают в химическое взаимодействие с линейными молекулами каучука и как бы «сшивают» их по месту двойных связей в крупные сетчатые трёхмерные структуры. Получается резина (рис. 28). Этот процесс получил название вулканизации. В результате вулканизации липкий и непрочный каучук превращается в упругую эластичную резину, которая сохраняет свойства эластичности при значительных колебаниях температуры. Резина более устойчива к действию кислорода воздуха, чем каучук.

Для вулканизации каучука берётся немного серы — 2-3% от общей массы. Если добавить к каучуку более 30% серы, то она присоединится по линии разрыва почти всех π-связей и образуется жёсткий материал — эбонит.

Основные понятия

Кумулированные, сопряжённые, изолированные связи • Единое π-электронное облако • Эффект сопряжения • Особенности реакций присоединения диеновых углеводородов (галогенирование, полимеризация) • Натуральный (природный) каучук • Эластичность • Вулканизация

Вопросы и задания

1. Приведите примеры структурных формул алкадиенов.

2. Выберите правильный ответ.

Углеводород СН3— СН=СН—СН=СН—СН3 относят к гомологическому7 ряду, общая формула которого

    а) СnН2n-2
    б) CnH2n+2
    в) СnН2n
    г) СnН2n-6

3. Приведите структурные формулы двух гомологов и двух изомеров 1,2-пентадиена, дайте им названия.

4. Что такое вулканизация? Зачем её проводят?

5. Составьте схему полимеризации хлоропрена

и выделите структурное звено в полимере.

6. Выберите правильный ответ.

Тип гибридизации атомов углерода под номерами 1, 2, 3, 4 в молекуле 1,3-бутадиена соответствует

    а) sp2—sp—sp2—sp3
    б) sp2—sp—sp—sp2
    в) sp2—sp2—sp2—sp2
    г) sp2—sp2—sp—sp2

7. Определите молекулярную формулу углеводорода, если массовая доля углерода в нём равна 82,8%, а плотность этого вещества составляет 2,59 г/л.

<<< К началу параграфа

 

 

???????@Mail.ru