Главная >> Химия 10 класс. Базовый уровень. Кузнецова

Глава 13. Полимеры — синтетические высокомолекулярные соединения

§ 40. Общие понятия о синтетических высокомолекулярных соединениях

Вы уже знакомы в некоторой степени с полимерами — высокомолекулярными соединениями (природными, искусственными, синтетическими). В этой главе мы приступим к систематическому изучению синтетических полимеров: пластмасс, волокон, каучуков, с каждым годом приобретающих всё большее значение в хозяйстве. Вы познакомитесь со свойствами и применением синтетических полимеров, производство которых играет большую роль в ускорении научно-технического прогресса и жизни человека.

    Задание. Приведите примеры современных полимеров и укажите области их применения.
    Какие вы знаете способы получения высокомолекулярных соединений?
    В чём отличие реакции полимеризации от реакции поликонденсации?
    В чём особенности строения полимеров?

Приведём несколько примеров высокомолекулярных соединений, или полимеров:

    Задание. Вспомните, что такое мономер, полимер, элементарное звено, степень полимеризации. Установите отличие молекулы мономера от элементарного звена.

Огромные молекулы полимеров построены из элементарных звеньев — остатков мономеров. Число n — степень полимеризации — обозначает количество элементарных звеньев. Оно колеблется от 1000 до 100 000 и более. Чем больше n, тем больше молекулярная масса полимера.

Высокомолекулярные соединения имеют Мr от нескольких тысяч до миллионов. Поэтому огромные молекулы полимеров называют макромолекулами (от греч. makros — «большой», «длинный»). В состав полимеров входят макромолекулы разной длины, имеющие разную молекулярную массу, в связи с этим следует пользоваться понятием средней молекулярной массы. Когда говорим о молекулярной массе полимера, мы всегда должны помнить, что эта величина усреднённая, в отличие от низкомолекулярных веществ. Например, молекулярная масса полиэтилена 30 000 — это значит, что в нём могут быть макромолекулы с массой 28 000, 30 000, 32 000.

Физические свойства полимеров сильно зависят от степени полимеризации. Имеет значение и то, как соединяются друг с другом молекулы мономеров. Образованные из них макромолекулы могут иметь линейную, разветвлённую или пространственную структуру (рис. 83).

Элементарные звенья в макромолекулах линейных полимеров соединяются в длинные цепи. Поперечный размер цепей ничтожен по сравнению с их длиной. Цепи могут изгибаться в пространстве в различных направлениях или сворачиваться в клубок (рис. 83, а). Представьте себе мысленно длинную тонкую медную проволоку. При вращении она будет изгибаться в разные стороны. Так и линейные полимеры обладают особым свойством, которое называется гибкостью. Чем длиннее цепь полимера, тем больше проявляется это свойство. В результате гибкости макромолекулы полимеров постоянно меняют свою форму.

Линейную структуру имеют такие природные полимеры, как натуральный каучук и целлюлоза, а из синтетических полимеров — полиэтилен низкого давления, капрон и др.

Разветвлённой структурой обладают крахмал, полипропилен, полиэтилен высокого давления (рис. 83, б). Гибкость разветвлённых макромолекул зависит от степени разветвления. Чем больше разветвлённость, тем меньше гибкость. Эти разветвлённые полимеры имеют такие же свойства, что и низкомолекулярные вещества. Как вы думаете, от чего это зависит?

Пространственную структуру имеют шерсть, резина, фенолформальдегидные полимеры. Их макромолекулы «сшиты» между собой отдельными атомами или группами атомов. Такие полимеры ещё называют сетчатыми (рис. 83, в).

Высокомолекулярные соединения получают полимеризацией и поликонденсацией. С этими способами вы уже знакомились.

    Задание. На конкретном примере запишите уравнения реакций полимеризации и поликонденсации, покажите сходство и отличие этих реакций.

В реакцию полимеризации вступают мономеры с кратными связями. Химическая реакция протекает за счёт разрыва одних химических связей и возникновения других. В результате реакции полимеризации образуются высокомолекулярные соединения, и при этом не выделяются побочные продукты.

Рассмотрим механизм реакции полимеризации. Для этого нам надо вспомнить механизм реакции присоединения. Как мы знаем, он может быть свободнорадикальным и ионным. Реакция полимеризации в зависимости от условий также протекает по двум механизмам: свободнорадикальному и ионному, которые состоят из инициирования цепи, роста цепи и обрыва цепи (см. § 6).

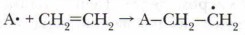
Рассмотрим сначала свободнорадикальный механизм на примере реакции полимеризации этилена. К этилену добавляют вещество-инициатор А—А, которое при нагревании распадается на два свободных радикала:

Затем свободный радикал инициирует молекулу мономера, т. е. под влиянием свободного радикала происходит разрушение π-связи в молекуле мономера, при взаимодействии радикала А• с этиленом образуется радикал

Образовавшаяся частица с неспаренным электроном (радикал) действует на следующую молекулу мономера, и происходит увеличение цепи этой частицы. Образуется более длинная частица с неспаренным электроном:

Удлинение цепи будет продолжаться до тех пор, пока не встретятся два радикала, в этом случае образуется макромолекула, т. е. произойдёт обрыв цепи:

Ионный механизм реакции полимеризации. В этом случае реакция полимеризации протекает с помощью катализатора, способного образовывать ионы. Если образуется катион (положительный ион), то такая полимеризация называется катионной, если образуется анион (отрицательный ион) — это анионная полимеризация. Для катионной полимеризации катализаторами являются кислоты, соли: АlСl3, TiCl4 и др. Для анионной — основания, щелочные металлы, металлоорганические соединения: Аl(С2Н5)3 и др. Они позволяют получать полимеры, обладающие упорядоченной структурой, высокими техническими характеристиками. Образовавшийся ион инициирует процесс, присоединяется к мономеру. После этого происходит рост цепи: образовавшийся ион многократно взаимодействует с молекулами мономера, сохраняя заряд на крайнем углеродном атоме растущего иона. Затем происходит обрыв цепи с выделением катализатора.

Ещё раз обратимся к строению полимеров. Например, при полимеризации пропилена возможно образование макромолекул, в которых по-разному могут размещаться элементарные звенья.

Если назвать часть молекулы пропилена, которая находится с одной стороны от двойной связи, «головой», а с другой — «хвостом», то при полимеризации молекулы могут соединяться между собой в строгой последовательности, т. е. регулярно — «голова к хвосту» и «голова к голове»:

Регулярное строение молекулы влияет на физико-механические свойства полимера, обеспечивает плотную упаковку макромолекул. Такие полимеры твёрдые, прочные, из них изготавливают трубы, детали машин, канаты, нити для ковровых покрытий и т. д.

Если в полимере метильные группы располагаются беспорядочно относительно углеродной цепи, то такой полимер называют полимером нерегулярного строения, т. е. полимеризация происходит случайным образом.

Полимер нерегулярного строения аморфен, мягок, эластичен и гибок. Из него изготавливают водостойкие материалы и кровельные покрытия. Синтез таких полимеров явился большим достижением химической науки.

В процессе реакции поликонденсации наряду с высокомолекулярным соединением образуется побочный продукт — низкомолекулярное вещество (Н2O, НСl).

В реакции поликонденсации взаимодействие мономеров друг с другом происходит в несколько стадий. Сначала вступают в реакцию две молекулы, образуется димер, к которому затем присоединяется третья молекула, затем четвертая, пятая и т. д. В результате образуется высокомолекулярное соединение. Чтобы получить полимер с большой молекулярной массой, необходимо из реакции постоянно выводить низкомолекулярное вещество.

Структура полимера определяется в этом случае числом функциональных групп в исходных мономерах. Если в мономере содержатся две такие группы, то образуются линейные полимеры. Если три и более — образуются разветвлённые, или пространственные, полимеры.

Высокомолекулярные соединения, в отличие от низкомолекулярных веществ, могут быть только в двух агрегатных состояниях: твёрдом и жидком. Полимер из твёрдого состояния переходит в жидкое в интервале температур. Это объясняется наличием в полимере макромолекул с различной молекулярной массой.

Большинство полимеров в воде не растворяется. Линейные и разветвлённые полимеры в органических растворителях набухают, а пространственные — не растворяются и не плавятся без разложения. При длительном действии на полимер кислорода воздуха, воды, света и температуры в структуре полимера происходят изменения: полимер «стареет» — большие макромолекулы разрываются. Для предотвращения этого процесса или при необходимости его замедления нужно добавлять различные вещества: антиокислители, фотостабилизаторы и т. д.

По отношению к нагреванию они подразделяются на термопластичные, или термопласты, и термореактивные, или реактопласты. К термопластичным относятся полимеры с линейной или разветвлённой структурой (полиэтилен, полипропилен, полистирол и т. д.). Термопласты при остывании не затвердевают, сохраняют способность вновь переходить в вязкотекучее состояние при повторном нагреве.

Изделия из термопластичных полимеров изготавливают методом литья под давлением. Расплавленный полимер продавливают в форму, затем материал застывает, и образуется нужное изделие. Термопластичные полимеры можно подвергать многократной переработке.

Реактопласты — это тоже полимеры с линейной или разветвлённой структурой, но с большим числом активных функциональных групп. При нагревании эти группы вступают в химические взаимодействия — образуется пространственная трёхмерная («сшитая») структура в полимерной фазе. Это происходит при получении (формовании) готовых изделий из полимеров. Полимер при этом затвердевает, и изделие теряет способность переходить в вязкотекучее состояние. К реактопластам относятся фенолоформальдегид- ные полимеры.

Рассмотрим наиболее распространённые полимеры и полимерные материалы на их основе.

Окончание параграфа >>>

 

 

???????@Mail.ru