Главная >> Химия 10 класс. Профильный уровень. Кузнецова

Глава 5. Углеводороды

Алкадиены. Строение, свойства, применение

Физические свойства алкадиенов

Бутадиен-1,3 при обычных условиях — газ, легко сжижается при температуре -5 °С, 2-метил бутадиен-1,3 — легкокипящая летучая жидкость. Температура кипения +34,1 °С.

    Задание. Учитывая, что алкадиены имеют две двойные связи, предположите, какие реакции будут характерны для них.

Химические свойства алкадиенов

Сопряженные алкадиены как типичные представители непредельных углеводородов вступают в реакции присоединения.

а) Галогенирование

Присоединение диенами галогенов протекает с образованием смеси продуктов присоединения в 1,2- и 1,4-положениях. Соотношение продуктов зависит от конкретных условий, например температуры реакции и природы растворителя:

    Задание. Запишите уравнение реакции взаимодействия бутади- ена-1,3 с избытком водорода.

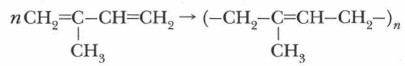
б) Полимеризация

Полимеризация диеновых углеводородов происходит в присутствии инициатора — металлического натрия. Это свойство алкадиенов имеет огромное практическое значение, так как оно лежит в основе производства синтетического каучука. Каучук применяется для изготовления автомобильных, аэропланных, велосипедных камер и покрышек, резиновой обуви, многочисленных медицинских изделий, для изоляции электрических проводов и др. Для получения каучуков, обладающих высокими техническими характеристиками, в качестве катализаторов в настоящее время используют металлоорганические соединения (алюминий- или литийорганические).

Природный каучук

Натуральный (природный) каучук получают из млечного сока каучуконосных растений, преимущественно из гевеи бразильской. Бразилия — родина натурального каучука. Каучук — твердое вещество, обладающее важными свойствами: водо- и газонепроницаемостью, имеет большую молекулярную массу 150 000—500 000. Макромолекулы природного каучука, имеющие линейную структуру, свернуты в клубок. При воздействии силы каучук может растягиваться, а после снятия нагрузки он сжимается, принимая прежнюю форму. Это ценное свойство каучука называется эластичностью. Природный каучук благодаря эластичности очень устойчив к износу. Однако при повышенной температуре каучук становится мягким и липким, теряет эластичность, размягчается, в свое прежнее состояние не возвращается. При дальнейшем нагревании он плавится. На холоде каучук становится твердым и хрупким. Исследования показали, что при нагревании натурального каучука основным продуктом разложения является изопрен — диеновый углеводород. Следовательно, натуральный каучук является природным полимером, макромолекулы которого состоят из звеньев (—С5Н8—). Запишем схему реакции полимеризации изопрена при образовании нату рального каучука:

Наличие двойной связи говорит о том, что натуральный каучук является непредельным углеводородом.

<<< К началу      Окончание >>>

 

 

???????@Mail.ru