Главная >> Химия 10 класс. Профильный уровень. Кузнецова

Глава 12. Углеводы

§ 43. Сахароза как представитель олигосахаридов

    В повседневной жизни мы постоянно имеем дело с сахаром. Что он представляет собой с точки зрения химии? Каковы его природные источники?
    Как вы полагаете, когда сахар впервые появился в Европе? До появления сахара пища была несладкой?

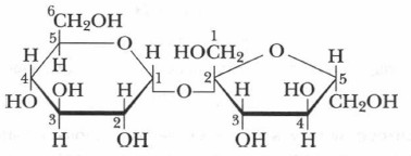
Сахароза — всем хорошо известный пищевой сахар. Состав сахарозы отвечает формуле С12Н22О11. Структурная формула сахарозы достаточно сложна.

По строению сахароза — дисахарид, молекула которого состоит из остатков циклической формы глюкозы и циклической формы фруктозы. В продуктах ее гидролиза глюкозу и фруктозу можно обнаружить экспериментально. Однако при растворении в воде гидролиз сахарозы протекает очень медленно, но этот процесс ускоряется в кислой среде:

Она широко распространена в растительном мире. В небольших количествах сахароза всегда содержится в листьях и семенах растений. Много ее в сладких плодах — персиках, грушах, дынях (до 13%). Тростниковый сахар (в виде сиропа) был известен в Индии уже пять тысяч лет назад. Однако основными промышленными источниками сахарозы сегодня являются корнеплоды сахарной свеклы (содержание — до 27%) и сахарный тростник (до 26 % в соке).

Рафинированная (очищенная) 99,9 % сахароза занимает одно из ведущих мест по объему производимых промышленностью чистых органических соединений. Промышленное получение сахарозы сводится к извлечению ее из природного сырья с помощью воды с последующей очисткой и кристаллизацией.

Привычный нам белый сахар — продукт тщательной химической очистки. Он менее полезен, чем так называемый желтый сахар, сохраняющий большее количество природных примесей и весьма распространенный в европейских странах. Природные источники сахарозы показаны на рисунке 64.

    Содержание сахарозы в природных источниках сырья

Проблема. Диетологи нередко называют сахар «белой смертью». Не стоит слишком сгущать краски, сахар — весьма важный пищевой продукт, однако избыток его в организме, безусловно, вреден. Как вы это объясните? Возможно, найти ответ на этот вопрос вам поможет проведение гидролиза сахарозы. Подумайте, как можно его осуществить.

Продолжение >>>

 

 

???????@Mail.ru