Главная >> Химия 10 класс. Профильный уровень. Кузнецова

Глава 16. Полимеры и полимерные материалы

Композиционные материалы. Краски, лаки, клеи

Органические красители имеют сложное строение. Исследования многих химиков позволили установить связь между окраской соединения и его строением. Рассмотрим эту взаимосвязь на примере молекулярной формулы диметиламиноазобен- зола (формула дана не для запоминания):

Основой, или ядром, молекулы красителя являются бензольные кольца, к которым присоединены группы атомов — носители цвета — хромофоры:

Ядро вместе с хромофорной группой образует окрашенную систему — хромоген. Цвет зависит от того, как хромофоры расположены и связаны между собой. Для усиления цвета, для достижения большей прочности окрашивания, к хромогену должны быть присоединены дополнительные группы — ауксохромы. Как правило, к ним относятся гидроксигруппа —ОН и аминогруппа —NH2.

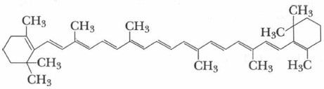
Часто молекулы красителей содержат не одну, а несколько хромофорных групп. Примером таких красителей может служить пигмент моркови — каротин, который в организме человека превращается в витамин А. Оранжевый цвет моркови придают молекулы β-каротина, которые содержат несколько двойных связей.

Молекулы каротина поглощают лучи определенных цветов (определенной длины волны) и таким образом придают соединению определенную окраску.

Красители, у которых бензольные кольца соединены азогруппой, получили название азокрасителей. Они составляют более половины всех производимых органических красителей и широко используются в пищевой и текстильной промышленности.

Лаки

Лаки применяют для покрытия различных предметов и поверхностей. Засыхая, лаки образуют твердую и прозрачную пленку, выполняющую защитную, декоративную и другие функции.

В состав лаков входят:

В зависимости от природы пленкообразующего вещества лаки делятся на масляные, нитролаки, полиэфирные, битумные, фенолформальдегидные и др. При выборе лака необходимо учитывать разновидность материала, составляющего поверхность изделия, которую предстоит обработать (металл, древесина, кожа, пластмасса и т. д.).

Клей

Клей используется для соединения различных материалов. Он может быть в жидком и твердом виде.

В состав клея входят:

<<< К началу      Окончание >>>

 

 

???????@Mail.ru