Главная >> Химия 10 класс. Габриелян. Углубленный уровень

Глава 5. Углеводы

§ 23. Моносахариды. Гексозы. Глюкоза. Фруктоза (окончание)

Применение глюкозы

Глюкоза — основной источник энергии в живой клетке, поэтому она широко применяется в медицине при лечении самых различных заболеваний, особенно при общем истощении организма. Полученный восстановлением глюкозы сорбит используется при диабете в качестве заменителя сахара (рис. 60).

В микробиологической промышленности растворы глюкозы применяют как питательную среду для размножения кормовых дрожжей. Спиртовым брожением глюкозы получают пищевой этиловый спирт.

Применение глюкозы

В кондитерской промышленности глюкоза в составе патоки используется при изготовлении мармелада, карамели, пряников и т. п.

Реакция «серебряного зеркала» глюкозы применяется при изготовлении зеркал и ёлочных украшений.

В текстильной промышленности глюкоза используется для отделки тканей.

Для всех этих целей глюкозу получают из крахмала, подвергая его гидролизу в присутствии минеральных кислот.

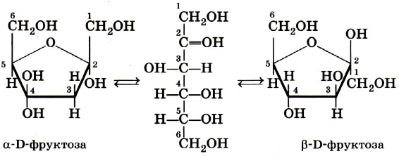
Строение молекулы фруктозы

Наиболее важная из кетоз — D-фруктоза. Она широко распространена в растительном мире: содержится во фруктах, в пчелином мёде, входит в состав дисахарида сахарозы.

Фруктоза изомерна глюкозе и имеет молекулярную формулу С6Н12O6. Она представляет собой кетогексозу с карбонильной группой у второго углеродного атома цепи. Фруктоза, как и глюкоза, способна существовать в открытой и двух циклических формах. Особенностью её циклических форм является меньший размер цикла, содержащего не шесть, а пять атомов.

Химические свойства фруктозы

Фруктоза вступает во все реакции многоатомных спиртов: образует сахараты с нерастворимыми в воде гидроксидами, простые и сложные эфиры. Однако наличие в молекуле вместо альдегидной группы кетонного фрагмента затрудняет реакции окисления фруктозы. Например, глюкоза окисляется бромной водой до глюконовой кислоты, а фруктоза к подобному превращению не способна:

Эта реакция позволяет отличить альдозы от кетоз.

Как и все моносахариды, фруктоза не подвергается гидролизу.

1. Какие свойства глюкозы позволяют делать выводы о строении её молекулы?

2. Используя структурную формулу глюкозы (в линейной форме), составьте уравнения реакций с аммиачным раствором оксида серебра, гидроксидом меди (II) без нагревания и при нагревании.

3. Составьте уравнение реакции гидрирования глюкозы. В какой форме молекула глюкозы может принимать участие в этой реакции? Назовите продукт присоединения и класс органических веществ, к которому он относится.

4. Можно ли считать линейную и циклическую формы глюкозы изомерами? Ответ обоснуйте.

5. Какие особенности строения молекулы фруктозы позволяют назвать её кетоноспиртом?

6. В шести пронумерованных пробирках находятся водные растворы этанола, уксусной кислоты, формалина, фенола, глицерина и глюкозы. Как определить содержимое пробирок при помощи растворов: гидроксида натрия, сульфата меди (II) и хлорида железа (III)?

7. Составьте уравнения спиртового и молочнокислого брожения глюкозы с использованием структурных формул. Назовите продукты реакций.

8. Выполните учебно-исследовательский проект на тему «Биологическая роль глюкозы».

9. При молочнокислом брожении 144 кг глюкозы получили 120 кг молочной кислоты. Какова массовая доля выхода молочной кислоты от теоретически возможного? Ответ: 83,3%.

10. В процессе фотосинтеза зелёные растения нашей планеты ежегодно поглощают 200 млрд т углекислого газа. Какой объём кислорода выделяется при этом в атмосферу?

11. Сколько глюкозы (в мг) можно окислить аммиачным раствором оксида серебра, если он содержит: а) 20,88 мг Ag20; б) 1,5 ммоль Ag2O?
Ответ: а) 16,2 мг С6Н12О6; б) 270 мг С6Н12О6.

12. Составьте мини-конспект по теме «Рибоза и дезоксирибоза», используя материалы сайтов http://chemistry.ssu. samara.ru, http://xumuk.ru и др.

<<< К началу

 

 

???????@Mail.ru