Главная >> Химия 10 класс. Габриелян. Углубленный уровень

Глава 6. Азотсодержащие соединения

§ 28. Нуклеиновые кислоты

Название этих веществ происходит от латинского слова nucleus — «ядро» и указывает, что нуклеиновые кислоты являются составной частью клеточных ядер.

Нуклеиновые кислоты — высокомолекулярные соединения с молекулярными массами от ста тысяч до десятков миллиардов. Они были открыты в 1869 г. швейцарским химиком Ф. Мишером в ядрах лейкоцитов, входящих в состав гноя. Впоследствии нуклеиновые кислоты были обнаружены во всех растительных и животных клетках, вирусах, бактериях и грибах.

Строение нуклеиновых кислот

Различают два вида нуклеиновых кислот — дезоксирибонуклеиновые (сокращённо ДНК) и рибонуклеиновые (РНК). Различие в названиях объясняется тем, что молекула ДНК содержит моносахарид дезоксирибозу, а РНК — рибозу.

Структура молекулы ДНК

В настоящее время известно большое число разновидностей ДНК и РНК, отличающихся друг от друга по строению и значению в жизнедеятельности организма. Нуклеиновые кислоты — исключительно важные элементы клетки, обеспечивающие хранение и передачу генетической (наследственной) информации в живых организмах. ДНК находится преимущественно в хромосомах клеточного ядра (99% всей ДНК клетки), а также в митохондриях и хлоропластах. РНК входит в состав ядрышек, рибосом, митохондрий, пластид и цитоплазмы.

Молекула ДНК состоит из двух полинуклеотидных цепочек, спирально закрученных одна относительно другой (рис. 78).

Структурными компонентами (мономерами) каждой такой цепочки служат нуклеотиды, количество которых в молекулах нуклеиновых кислот бывает разным — от 80 в молекулах РНК до нескольких десятков тысяч в ДНК. В состав любого нуклеотида входит одно из азотистых оснований — аденин, гуанин, цитозин и тимин (урацил в РНК), углевод пентоза (у ДНК — дезоксирибоза С5Н10О4, у РНК — рибоза С5Н10О5) и остаток фосфорной кислоты. Азотистые основания цитозин и тимин (урацил) называются пиримидиновыми, а аденин и гуанин — пуриновыми. Поэтому вполне логично предположить, что при полном гидролизе нуклеиновых кислот образуются смесь пиримидиновых и пуриновых оснований, моносахарид — пентоза (рибоза или дезоксирибоза) и фосфорная кислота.

Строение каждой составляющей нуклеотида можно отразить с помощью формул.

Пиримидиновые основания:

Пиримидиновые основания

Пиримидиновые основания способны к таутомерии, которая показана выше на примере цитозина.

Пуриновые основания:

Пуриновые основания

Пентозы:

Пентозы

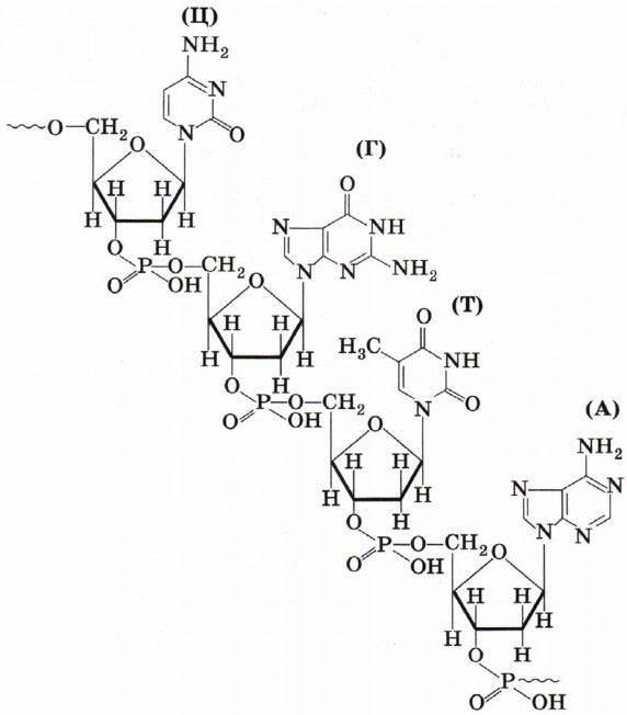
Нуклеиновые кислоты, как и простые белки, имеют первичную, вторичную и третичную структуру

Нуклеиновые кислоты, как и простые белки, имеют первичную, вторичную и третичную структуру. Чередование мононуклеотидов в полинуклеотидной цепи образует первичную структуру нуклеиновой кислоты точно так, как из аминокислот образуется белок. Ниже показан фрагмент ДНК как пример первичной структуры нуклеиновой кислоты.

Продолжение >>>

 

 

???????@Mail.ru