Главная >> Химия 10 класс. Габриелян. Углубленный уровень

Глава 7. Биологически активные соединения

§ 31. Гормоны (окончание)

Гормоны щитовидной железы. Щитовидная железа вырабатывает такие важные гормоны, как трииодтиронин, тетраиодтиронин (тироксин) и тиреокальцитонин. Первые два гормона регулируют энергетический обмен в организме. Так, при введении в кровь всего лишь 1 мг тироксина суточный расход энергии человеком увеличивается более чем на 1000 ккал. Трииодтиронин физиологически ещё более активен, поэтому его среднее содержание в крови в 20—25 раз меньше, он значительно быстрее разрушается в тканях. Стимулируя резкое увеличение производства энергии, эти гормоны ускоряют расходование клетками всех питательных веществ — жиров, углеводов, белков, увеличивают потребление тканями глюкозы, что, в свою очередь, компенсируется ростом скорости гидролиза гликогена в печени. Трииодтиронин и тироксин регулируют не только энергетические процессы в организме, но и пластические, т. е. ускоряют рост организма. Кроме того, эти гормоны стимулируют и центральную нервную систему, ускоряют и делают более выраженными рефлексы, в том числе сухожильный. Гиперфункция щитовидной железы и связанное с ней избыточное производство гормонов приводит к непроизвольному дрожанию (тремору) конечностей, а недостаток в пище иода, необходимого для синтеза трииодтиронина и тироксина, вызывает разрастание ткани щитовидной железы и образование зоба.

Кроме иодсодержащих гормонов, щитовидная железа синтезирует и ещё один важный гормон — тиреокальцитонин. Этот гормон регулирует и контролирует усвоение и обмен кальция в организме. Таким образом, именно тиреокальцитонин «отвечает» за формирование и прочность скелета, а также зубов.

Гормоны надпочечников. Мозговое вещество надпочечников вырабатывает адреналин, который регулирует многие функции организма, в том числе и важнейшую — обмен веществ. Присутствие этого гормона ускоряет расщепление гликогена в печени и мышцах, повышая количество глюкозы в крови, что увеличивает работоспособность скелетных мышц при их утомлении, активизирует возбудимость зрительных и слуховых рецепторов. Следовательно, адреналин способен стимулировать быстрое повышение работоспособности и сопротивляемости организма в чрезвычайных условиях.

Кора надпочечников вырабатывает несколько видов гормонов: минералокортикоиды, такие как альдостерон и кортикостерон, регулирующие минеральный (солевой) обмен; глюкокортикоиды (кортизон, гидрокортизон), регулирующие белковый, углеводный и жировой обмен; половые гормоны (андрогены, эстрогены, прогестерон), которые регулируют развитие половых органов в детском возрасте, когда секреция половых желёз ещё незначительна (до периода полового созревания).

Из минералокортикоидов наиболее активен альдостерон. Этот гормон регулирует количество и баланс ионов Na+ и К+ в крови. Недостаток альдостерона снижает концентрацию хлорида натрия в крови и тканевых жидкостях, приводя к резкому снижению кровяного давления, обезвоживанию и гибели организма. Поэтому минералокортикоиды часто называют гормонами жизни. Очевидно, их избыток вызывает задержку жидкости в организме и устойчивое повышение артериального давления — гипертонию.

Наиболее активный из глюкокортикоидов — гидрокортизон стимулирует синтез глюкозы в печени, повышая её уровень в крови. Содержание гликогена в печени при этом не снижается, а может даже расти. Этим действие гидрокортизона принципиально отличается от действия адреналина. Кроме того, глюкокортикоиды ускоряют извлечение жиров из жировой клетчатки и их окисление («сгорание») с выделением необходимой организму энергии. Недостаток этих гормонов истощает силы организма, его сопротивляемость неблагоприятным внешним воздействиям и болезням.

С гормонами половых желёз мы уже немного знакомы. До достижения половой зрелости в необходимых количествах они синтезируются корой надпочечников. В зрелом возрасте, когда половая функция организма приобретает большее значение, синтез андрогенов и эстрогенов начинают осуществлять специальные мужские и женские половые железы внутренней секреции.

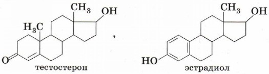
Андрогены, например тестостерон, регулируют формирование и развитие вторичных мужских половых признаков — особенностей скелета, голоса, распределение волосяного покрова на теле, поведение и конечно же развитие и функционирование мужских половых органов. Тестостерон, кроме того, стимулирует связывание азота в организме, тем самым ускоряя синтез белков и развитие мускулатуры. Поэтому тестостерон, его препараты и родственные соединения — анаболические стероиды (анаболики; от греч. anabole — подъём) — применяются, например, для развития мышц у спортсменов.

При сравнении строения молекул тестостерона и эстрадиола

При сравнении строения молекул тестостерона и эстрадиола можно отметить, что они отличаются лишь на одну метильную группу и несколько атомов водорода.

можно отметить, что они отличаются лишь на одну метильную группу и несколько атомов водорода. Но как огромны последствия этих различий! Эстрадиол, как и другие эстрогены — женские половые гормоны, направляет развитие организма по женскому типу — отвечает за формирование вторичных женских половых признаков, особенностей строения скелета, поведения и характера.

Гормоны гипофиза. Гипофиз (нижний мозговой придаток) является эндокринной железой, функции которой регулируются нейрогормонами гипоталамуса. Выработка и секреция гормонов железами внутренней секреции (щитовидной, надпочечниками, половыми железами) координируется единым регуляторным центром — гипофизом. В гипофизе большинства позвоночных и человека вырабатывается семь гормонов пептидной природы, четыре из которых действуют на периферические эндокринные железы и называются тропными, а три влияют непосредственно на органы и ткани-мишени. К последним как раз и относится рассмотренный ранее соматотропин.

1. Предварительно проконсультировавшись у своего учителя биологии и школьного врача, подготовьте небольшое сообщение об основных средствах и методах профилактики сахарного диабета. Перескажите основные идеи своего сообщения родным и близким.

2. Каким физиологическим процессам соответствует возникновение адреналиновой гипергликемии? В каких органах и тканях протекают эти процессы? Составьте уравнение гидролиза гликогена и объясните связь этой реакции с адреналиновой гипергликемией.

3. Опишите процессы, на которые оказывают влияние инсулин и адреналин. Можно ли считать эти гормоны антагонистами?

4. Назовите железы внутренней секреции и вырабатывае- мые ими гормоны.

5. Какие процессы регулирует гидрокортизон? Что общего в физиологическом действии этого гормона и адреналина? В чём отличия их влияния на организм? Приведите уравнения реакций, соответствующих биохимическим процессам, на которые влияют эти гормоны.

6. К каким негативным последствиям может привести непрерывное продолжительное повышенное содержание адреналина в крови?

7. К каким классам веществ можно отнести тестостерон и эстрадиол? Почему отличаются суффиксы их названий?

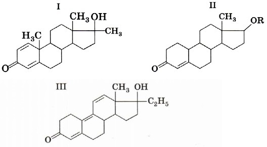
8. Анаболики — синтетические лекарственные препараты, которые стимулируют синтез белка и кальцификацию костной ткани. Их действие проявляется в увеличении массы скелета и скелетной мускулатуры. Сравните состав и строение метандростенолона — дианабола (формула I), феноболина — дураболина (II, R—C(O)CH2CH2Ph), ретаболила (II, R—СО(СН2)8(СН3)) и трианабола (III).

К каким классам органических соединений их можно отнести? Почему? Какой характер (предельный, непредельный, ароматический) имеет каждое из них? Составьте эмпирические формулы этих соединений.

9. Адреналин образует ярко окрашенное (зелёное) соединение с раствором хлорида железа (III) FeCl3. Какими особенностями строения молекулы адреналина это можно объяснить?

10. Адреналин плохо растворим в холодной воде и значительно лучше — в соляной кислоте. Чем это вызвано?

<<< К началу

 

 

???????@Mail.ru