Главная >> Химия 10 класс. Габриелян. Углубленный уровень

Глава 7. Биологически активные соединения

§ 31. Гормоны

Не менее важная группа органических веществ, имеющих огромное биологическое значение, — это гормоны.

У людей, знакомых с биологией, функция гормонов в живых организмах ассоциируется с ролью дирижёравиртуоза в большом симфоническом оркестре. Дирижёр координирует работу оркестровых групп, всего большого коллектива музыкантов, каждый из которых хорошо знает свою партию, мастерски владеет инструментом. Однако очевидно, что без дирижёра исполнение музыкального произведения очень быстро превратится в бессмысленное чередование звуков, а гениальная музыка — в ужасную какофонию.

Любой живой организм — сложнейшая и уникальная система органов и тканей, каждая из которых выполняет свою специфическую функцию. Как же осуществляются координация и согласование работы всех органов и систем живого организма? Что выполняет роль той самой дирижёрской палочки, которая подчиняет единой цели и синхронизирует ювелирную биологическую работу каждого органа и их систем? Эту важнейшую функцию и выполняют гормоны (от греч. hormao — приводить в движение, побуждать) — вещества, вырабатываемые железами внутренней секреции.

Гормоны

Как вы уже знаете из курса анатомии и физиологии, гормоны осуществляют гуморальную регуляцию деятельности органов, систем органов и всего организма в целом. Это не менее важный вид регуляции, чем хорошо известная вам нервная регуляция.

Свойства гормонов

Понятно, что, выполняя столь многочисленные и разнообразные функции, гормоны обладают и соответствующим набором характерных свойств, среди которых важнейшими являются:

  • чрезвычайно высокая физиологическая активность — очень малые количества гормонов вызывают весьма значительные изменения в работе органов и тканей;
  • дистанционное действие — способность регулировать работу органов, удалённых от железы, вырабатывающей гормон, что становится возможным, потому что гормоны доставляются к этим органам с током крови;
  • быстрое разрушение в тканях, так как, оказывая очень сильное влияние на работу органов и тканей, гормоны не должны накапливаться в них;
  • непрерывное продуцирование и регулируемая секреция вызваны необходимостью постоянного регулирования работы соответствующего органа в каждый момент времени.

    Из анализа характерных свойств гормонов, как мощного средства гуморальной регуляции, ясно, что их образование эндокринными железами (железами внутренней секреции) должно в каждый момент времени точно соответствовать состоянию организма. Обеспечение этого соответствия осуществляется по принципу обратной связи: не только гормон влияет на контролируемую систему органов и процессы в ней, но и состояние самой системы определяет производительность соответствующей железы, скорость образования и количество вырабатываемого гормона. Например, снижение концентрации глюкозы в крови тормозит секрецию инсулина (гормона, вызывающего уменьшение содержания глюкозы) и ускоряет секрецию глюкагона (гормона, стимулирующего рост концентрации глюкозы в крови). Таким образом, благодаря принципу обратной связи именно гормоны обеспечивают гомеостаз — постоянство состава внутренней среды организма, контроль и регулирование содержания воды, углеводов, электролитов в нём.

    Номенклатура гормонов

    Очевидно, что, оказывая влияние на работу различных органов и тканей, регулируя производство ими различных по составу химических соединений, гормоны и сами должны быть разнообразны по своему строению и представлять разные классы органических веществ. По химическому строению гормоны делят на следующие группы:

    • стероидные (стероиды);
    • гормоны — производные аминокислот;
    • пептидные;
    • белковые.

    Классификация гормонов отражена в таблице 15.

    Классификация гормонов

    Строение гормонов

    Познакомившись с функцией гормонов в организме, остановимся подробнее на их химическом строении. Рассматривая формулы гормонов, не старайтесь их запомнить, а просто получите общее представление о химической природе этой группы биологически активных веществ.

    Стероидные гормоны (стероиды). Гормоны этой группы формально можно рассматривать как производные гипотетического углеводорода стерана:

    Гормоны этой группы формально можно рассматривать как производные гипотетического углеводорода стерана

    Стероиды можно разделить на две группы: стероидные половые гормоны и гормоны коры надпочечников. Группа половых гормонов включает эстрогены, андрогены и прогестерон.

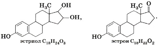
    Эстрогены — женские половые гормоны содержат в молекуле 18 атомов углерода (так называемые С18-соединения). К ним относится, например, эстрадиол C18H24O2:

    эстрадиол

    Название этого гормона отражает наличие в молекуле двух гидроксильных групп. Очевидно, что строение молекулы эстрадиола позволяет отнести его и к спиртам, и к фенолам. К эстрогенам относятся также:

    К эстрогенам относятся

    Наличие карбонильной группы отражается в названии эстрона суффиксом -он. Название эстриола явно подчёркивает присутствие трёх гидроксильных групп в его молекуле.

    Продолжение >>>

     

  •  

    ???????@Mail.ru