Главная >> Химия 10 класс. Габриелян. Углубленный уровень

Глава 7. Биологически активные соединения

Лекарства

Параллельно с «конструированием» новых лекарственных препаратов химики разрабатывали лабораторные и промышленные способы получения создаваемых лекарств. Так, уже в 1888 г. одна из немецких фирм наладила выпуск обезболивающего (анальгетика) и жаропонижающего средства — фенацетина, а в 1899 г. — аспирина (ацетилсалициловой кислоты) — анальгетика с противовоспалительным и жаропонижающим действием.

ацетилсалициловая кислота (аспирин)

В 1909 г. немецкий учёный Пауль Эрлих (1854— 1915) получил соединение мышьяка — сальварсан, первое эффективное средство против сифилиса. Работы Эрлиха заложили основы химиотерапии (хемотерапия, от греч. therapeia — забота, уход, лечение) — лечения инфекционных, паразитарных заболеваний и опухолей лекарствами, подавляющими жизнедеятельность возбудителя болезни или опухолевых клеток.

В отличие от фармакотерапии — лечения препаратами, влияющими на функции организма или симптомы болезней, химиотерапия является причинной терапией, т. е. её воздействие направлено на причину возбудителя болезни. Поэтому химиотерапевтические препараты характеризуются направленностью, специфичностью и избирательностью своего действия.

Идеи Эрлиха получили развитие в работах крупного химика-органика Алексея Евгеньевича Чичибабина (1871—1945) и английского бактериолога Александера Флеминга (1881 — 1955).

А. Е. Чичибабин в годы Первой мировой войны, когда в госпиталях тысячи людей страдали от отсутствия или нехватки болеутоляющих, антисептических и противовоспалительных препаратов, разработал методы получения атропина, кодеина, кофеина, опия и морфина из отечественного сырья, создал в России технологии производства аспирина, фенацетина и салола.

Открытие А. Флемингом в 1928 г. пенициллина — группы антибиотиков грибка Penicillium стало триумфом учения об антибиозе — явлении антагонизма и смертельной борьбы микроорганизмов друг с другом. Наиболее известным антибиотиком этой группы является бензилпенициллин:

Наиболее известным антибиотиком этой группы является бензилпенициллин

противомикробное действие препаратов которого (чаще всего натриевая и калиевая соли) до сих пор эффективно используется для борьбы с возбудителями опасных заболеваний.

В настоящее время широко применяются полусинтетические пенициллины — оксациллин и ампициллин.

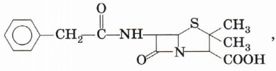
В 1960 г. появились первые представители новой группы антибиотиков — цефалоспоринов. В основе структуры их молекул лежит 7-аминоцефалоспориновая кислота:

В основе структуры их молекул лежит 7-аминоцефалоспориновая кислота

Широкое применение в лечении инфекционных заболеваний нашли не только пенициллины и цефалоспорины, но и другие антибиотики: левомицетин, тетрациклины, полимиксины, макролиды, аминогликозиды, фторхинолоны и др.

По характеру противомикробного действия антибиотики делятся на бактерицидные (вызывающие уничтожение микроорганизмов) и бактериостатические (задерживающие их рост и размножение).

Антибиотики — мощное оружие для борьбы с инфекциями, однако они уничтожают не только патогенные, но и полезные микроорганизмы, например микрофлору кишечника. Кроме того, болезнетворные микробы, в свою очередь, приобретают устойчивость к «знакомым» им антибиотикам.

Очевидно, что нельзя заниматься самолечением антибиотиками!

Тем не менее антибиотики — большая группа высокоэффективных химиотерапевтических препаратов, совершивших революцию в лечении самых различных инфекционных заболеваний. Помимо антибиотиков, существуют и создаются новые противомикробные средства.

Однако лекарственные средства не ограничиваются противомикробными средствами. Вам уже знакомы некоторые обезболивающие препараты. Познакомимся подробнее с этой группой лекарственных средств.

Избавиться от боли или снизить её можно несколькими способами: уменьшить чувствительность нервных окончаний — рецепторов; повлиять на передачу нервных импульсов от рецепторов в мозг или воздействовать непосредственно на центральную нервную систему (ЦНС) и её отделы — головной, спинной или продолговатый мозг.

Анестезирующие (от греч. anaisthesia; an — отрицательная частица, aisthesis — чувство) вещества временно блокируют нервные окончания — рецепторы и поэтому применяются для местной анестезии — обезболивания. К ним относятся такие наверняка известные вам вещества, как новокаин, дикаин и лидокаин (последний превосходит новокаин как по активности, так и по длительности действия). Лидокаин широко применяется для всех видов анестезии.

Если анестезирующие вещества блокируют рецепторы, то вяжущие и обволакивающие средства (танин, отвары коры дуба и семени льна) снижают их чувствительность.

В некоторых случаях необходимо не блокировать, а, наоборот, стимулировать, раздражать определённые группы рецепторов. Так, горечи стимулируют вкусовые рецепторы, а рвотные и слабительные средства — соответственно рецепторы желудка и кишечника.

Аммиак рефлекторно возбуждает ЦНС, и особенно дыхательный центр, ментол раздражает рецепторы слизистой оболочки рта и вызывает рефлекторное расширение сосудов сердца, купируя приступы стенокардии. Именно поэтому ментол входит в состав такого известного лекарства, как валидол. Кроме аммиака, дыхательный центр возбуждают такие препараты, как цититон и лобелии, которые снимают тяжёлые «явления лишения» — абстинентный синдром, облегчая отказ, например, от курения.

Рецепторы в органах и тканях блокируются небольшими количествами атропина — уже знакомого вам алкалоида красавки (белладонны). В больших количествах он стимулирует и возбуждает ЦНС.

В качестве лекарств могут использоваться и гормоны. На передачу нервных импульсов большое влияние оказывает гормон норадреналин, применение которого в качестве лекарственного средства вызывает резкое сужение сосудов и, следовательно, повышение кровяного давления.

Как лекарственный препарат используют и другой, также хорошо известный вам гормон адреналин. В отличие от предшественника, он вызывает сужение лишь периферийных сосудов — кожи и слизистых оболочек (человек бледнеет), но расширяет сосуды сердца и мышц, усиливает и учащает сердечные сокращения (пульс). Его влияние на гликогенолиз и содержание глюкозы в крови известно вам из § 31 «Гормоны».

По своему действию на организм с адреналином схож алкалоид эфедры — эфедрин, стимулирующий дыхательный и сосудодвигательный центры, расслабляющий мускулатуру бронхов и поэтому снимающий приступы бронхиальной астмы.

Как уже отмечалось, снять боль можно не только блокируя нервные окончания — болевые рецепторы или передачу нервных импульсов в мозг. Лекарственные препараты, устраняющие болевые ощущения, называются анальгетическими (от греч. analges — обезболенный) средствами или анальгетиками. Анальгетики делятся на две группы. К первой из них относятся известная вам салициловая кислота и её производные (в том числе аспирин), производные пиразолона: амидопирин (пирамидон), обладающий большими, чем салициловая кислота, анальгетическими и противовоспалительными свойствами, и анальгин, близкий по действию к амидопирину, превосходящий его по активности и быстроте действия, проявляющий также жаропонижающее действие, но уступающий амидопирину по длительности лечебного эффекта:

амидопирин

и производное анилина — парацетамол:

парацетамол

<<< К началу      Окончание >>>

 

 

???????@Mail.ru