Главная >> Химия 11 класс. Габриелян

Глава вторая. Химические реакции

§ 19. Окислительно-восстановительные реакции. Электролиз

Повторим признаки, по которым классифицируют химические реакции: изменение состава веществ, число и состав реагентов и продуктов, фаза, тепловой эффект, направление, участие катализатора. Не менее значима классификация по признаку: «изменение степеней окисления элементов, образующих реагенты и продукты реакции». По этому признаку различают реакции, протекающие с изменением степени окисления (окислительно-восстановительные), и реакции, протекающие без изменения степени окисления.

Степенью окисления называют условный заряд атомов химического элемента в соединении, вычисленный на основе предположения, что оно состоит только из простых ионов.

Чтобы рассчитать степень окисления, нужно воспользоваться несложными правилами:

    1) степень окисления (с. о.) кислорода почти всегда равна -2 (исключения: фторид кислорода пероксиды, например, );

    2) с. о. водорода почти всегда равна +1 (исключения: гидриды, например, );

    3) с. о. металлов всегда положительна, её максимальное значение почти всегда равно номеру группы;

    4) с. о. свободных атомов и атомов в простых веществах всегда равна 0;

    5) суммарная степень окисления атомов всех элементов в соединении равна 0.

Окислительно-восстановительными реакции

К окислительно-восстановительным относятся все реакции замещения, а также те реакции соединения и разложения, в которых участвует хотя бы одно простое вещество.

Почему эти реакции так называют? Рассмотрим примеры окислительно-восстановительных реакций с участием неорганических и органических веществ.

В качестве первой реакции возьмём красивую и практически важную реакцию алюминотермии (см. рис. 99):

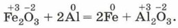
Fe2O3 + 2Аl = 2Fe + Аl2O3.

Обозначим степени окисления всех элементов в формулах веществ — реагентов и продуктов этой реакции:

степени окисления всех элементов в формулах веществ

Как видно из уравнения, два элемента — железо и алюминий — изменили свои степени окисления. Что с ними произошло?

Алюминий из нейтрального атома превратился в условный ион в степени окисления +3, т. е. отдал три электрона:

окисление

Элементы или вещества, отдающие электроны, называют восстановителями. В ходе реакции они окисляются.

Условный ион железа в степени окисления +3 получил три электрона и превратился в нейтральный атом:

восстановление

Элементы или вещества, принимающие электроны, называют окислителями. В ходе реакции они восстанавливаются.

Процессы, происходящие в рассмотренном примере, можно представить в виде схемы.

Понятие об окислительно-восстановительных реакциях

Понятие об окислительно-восстановительных реакциях универсально, т. е. оно справедливо не только для неорганической, но и для органической химии. Химики-органики употребляют аналогичные выражения, например, для альдегидов: «они восстанавливаются в спирты» или «они окисляются в кислоты».

Продолжение >>>

 

 

???????@Mail.ru