Главная >> Химия 11 класс. Габриелян

Глава третья. Вещества и их свойства

§ 20. Металлы (продолжение)

Взаимодействие металлов с растворами солей

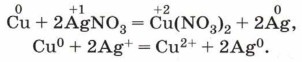
Взаимодействие меди с раствором нитрата серебра

Металлы взаимодействуют с растворами солей при соблюдении ряда условий:

• металл должен находиться в ряду напряжений левее металла, образующего соль;

• в результате реакции должна образоваться растворимая соль, так как в противном случае она покроет металл осадком и доступ соли к металлу прекратится;

• для этих реакций не рекомендуется использовать щелочные металлы (почему?).

Например:

не рекомендуется использовать щелочные металлы

(см. рис. 98).

На рисунке 120 показана красивая реакция замещения медью серебра из раствора его соли:

красивая реакция замещения медью серебра из раствора его соли

Металлотермия

Некоторые активные металлы — литий, магний, кальций, алюминий — способны вытеснять другие металлы из их оксидов. Это свойство используют для получения некоторых металлов, а также для изготовления термитных смесей. Так, хром получают с помощью алюминотермии:

Металлотермия

Коррозия металлов и способы защиты от неё

«Ржа ест железо» — гласит русская народная поговорка. Ржавчина, которая появляется на поверхности стальных и чугунных изделий, — это яркий пример коррозии.

Коррозией

У поэта В. Шефнера есть очень образные строчки:

Коррозия — рыжая крыса,
Грызёт металлический лом.

Ежегодно из-за коррозии разрушается около четверти всего произведённого в мире железа. Однако не только потеря металлов, но и порча изготовленных из них изделий обходится очень дорого. Затраты на ремонт или на замену деталей судов, автомобилей, аппаратуры химических производств, приборов и коммуникаций во много раз превышают стоимость металла, из которого они изготовлены.

Коррозия вызывает серьёзные экологические последствия. Утечка газа, нефти и других опасных химических продуктов из разрушенных коррозией трубопроводов приводит к загрязнению окружающей среды, что отрицательно влияет на здоровье и жизнь людей. Понятно, почему на защиту металлов и сплавов от коррозии тратят большие средства.

Коррозию металлов и сплавов (их окисление) вызывают такие компоненты окружающей среды, как вода, кислород, оксиды углерода и серы, содержащиеся в воздухе, водные растворы солей (морская вода, грунтовые воды). Эти компоненты непосредственно окисляют металл — происходит химическая коррозия.

Чаще всего коррозии подвергаются изделия из железа. Особенно сильно корродирует металл во влажном воздухе или в воде. Упрощённо этот процесс выражают с помощью следующего уравнения химической реакции:

химическая коррозия

Химически чистое железо почти не корродирует. Вместе с тем техническое железо, которое содержит различные примеси, например в чугунах и сталях, ржавеет, так как одной из причин возникновения коррозии является наличие примесей в металле, его неоднородность.

Химическую сущность коррозионного процесса для этого случая покажем на следующем примере. Если два различных металла, находящихся в контакте между собой, опустить в водный раствор электролита (в реальных условиях это, например, грунтовые воды, сконденсированная влага из атмосферы), то металл более активный, расположенный в электрохимическом ряду напряжений левее, будет разрушаться, предохраняя тем самым менее активный металл от коррозии. Например, при контакте железа с медью в водной среде железо, как более активный металл, будет постепенно растворяться, переходя в воду в виде ионов железа. При этом электроны, высвободившиеся из атомов железа, перейдут к меди и на её поверхности соединятся с ионами водорода, выделившимися из компонентов водной среды (например, серной или других кислот; вам, очевидно, известно такое выражение, как «кислотные дожди»). Этот электрохимический процесс можно представить так:

электрохимический процесс

Эксперимент по влиянию условий окружающей среды на коррозию металлов представлен на рисунке 121.

Коррозия железа

<<< К началу       Окончание >>>

 

 

???????@Mail.ru