Главная >> Химия 11 класс. Габриелян

Глава первая. Углеводороды и их природные источники

§ 8. Газообразные вещества (окончание)

Этилен, (С2Н4, или СН2 = СН2) применяют для получения других органических соединений (рис. 66). В промышленности этилен получают дегидрированием этана:

Применение этилена

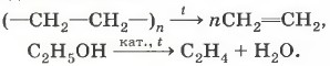
Лабораторные способы получения этилена

В лаборатории этилен получают двумя способами: деполимеризацией полиэтилена (рис. 67, а) или каталитической дегидратацией этилового спирта (рис. 67, б). В качестве катализатора используют белую глину или чистый оксид алюминия:

Этилен получают двумя способами: деполимеризацией полиэтилена или каталитической дегидратацией этилового спирта

Распознают этилен по обесцвечиванию подкисленного раствора перманганата калия или бромной воды (рис. 68).

Распознавание этилена

§ 8. Задания

1. Какие агрегатные состояния вещества вы знаете?

2. Сформулируйте закон Авогадро и следствие из него.

3. Рассчитайте массу аммиака, который при нормальных условиях занимает объём 67,2 л.

4. Найдите объём, который занимают (при н. у.) 32 г оксида серы (IV).

5. Назовите, какие ещё газовые законы вам известны из курса физики.

6. Запишите уравнение Менделеева—Клапейрона. Придумайте задачу на его применение и решите её.

7. Чем отличается газообразное состояние вещества от твёрдого и жидкого?

8. Как сформировалась атмосфера Земли? Каков её состав?

9. Как деятельность человека (антропогенный фактор) влияет на атмосферу? Как минимизировать это влияние?

10. Подготовьте сообщение на тему «Озоновый щит планеты», используя возможности Интернета.

11. Как получить, собрать и распознать: а) водород; б) кислород; в) углекислый газ; г) аммиак; д) этилен?

12. Как получают в промышленности: а) водород; б) кислород; в) углекислый газ; г) аммиак; д) этилен? Назовите области их применения.

13. С помощью Интернета подготовьте сообщение на тему «Парниковый эффект в атмосфере Земли и его возможные последствия».

14. Предложите проблематику международной конференции, посвящённой сотрудничеству по защите атмосферы.

<<< К началу

 

 

???????@Mail.ru