Главная >> Химия 8 класс. Габриелян

Глава первая. Атомы химических элементов

Взаимодействие атомов элементов-неметаллов между собой. Ответы

Ответ на вопрос 1

Электронная схема образования двухатомной молекулы галогена будет выглядеть так:

Электронная схема

А структурная формула: Hal — Hal

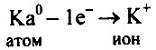
Ответ на вопрос 2

а) Схема образования химической связи для КСl:

Калий — элемент 1 группы, его атому легче отдать 1 внешний электрон, чем принять недостающие 7.

Хлор — элемент VII группы, его атому легче принять 1 недостающий электрон, чем отдать 7 электронов.

б) Схема образования химической связи для Сl2:

Хлор - элемент главной подгруппы VII группы. Его атомы имеют 7 электронов на внешнем уровне. Число непарных электронов равно (8-7) 1.

Связь между атомами одного и того же элемента ковалентна.

Ответ на вопрос 3

Сера— элемент главной подгруппы VI группы. Ее атомы имеют 6 электронов на внешнем уровне. Число непарных электронов равно (8-6)2. В молекулах S2 атомы связаны двумя общими электронными парами, поэтому связь двойная. Mega resheba. VTI Схема образования молекулы S2 будет выглядеть следующим образом:

Сера

Ответ на вопрос 4

В молекуле S2 связь двойная, в молекуле Сl связь одинарная, в молекуле N2 — тройная. Поэтому самой прочной модекулой будет N2, менее прочной S2, а еще слабее Cl2. Длина связи самая маленькая в молекуле N2, больше в молекуле S2, еще больше в молекуле Сl2.

Ответ на вопрос 5

Вещества с ковалентной неполярной связью: N2, O2, Н2.

Вещества с ионной связью: Li2O,KСl, CaF2.

<<< К началу

 

 

???????@Mail.ru