Главная >> Химия 8 класс. Габриелян

Практическая работа № 5

Приготовление раствора сахара и расчёт его массовой доли в растворе

Отмерьте мерным цилиндром 50 мл дистиллированной воды и влейте её в коническую колбочку ёмкостью 100 мл.

Чайную ложку сахарного песка (или два кусочка) взвесьте на лабораторных весах, затем поместите его в колбочку с водой и перемешивайте стеклянной палочкой до полного растворения.

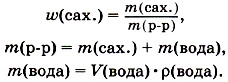
Теперь приступайте к расчётной части. Вначале рассчитайте массовую долю сахара в растворе. Необходимые данные у вас есть: масса сахара, объём воды, плотность воды примите равной 1 г/мл.

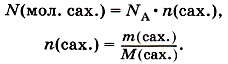
Вы также сможете рассчитать, сколько молекул сахара содержится в полученном растворе, используя известные вам соотношения:

Поскольку сахар СОСТОИТ на 99,9% из сахарозы, имеющей формулу С12Н22О11, вы легко рассчитаете молярную массу сахара и затем найдёте число молекул сахара в полученном вами растворе.


Практическая работа № 5. Приготовление раствора сахара и расчёт его массовой доли в растворе. Ответ

 

 

???????@Mail.ru