Главная >> Химия 8 класс. Габриелян

Глава четвёртая. Изменения, происходящие с веществами

Типы химических реакций на примере свойств воды. Ответы

Ответ на вопрос 1

Ответ на вопрос 1

Ответ на вопрос 2

Ответ на вопрос 2

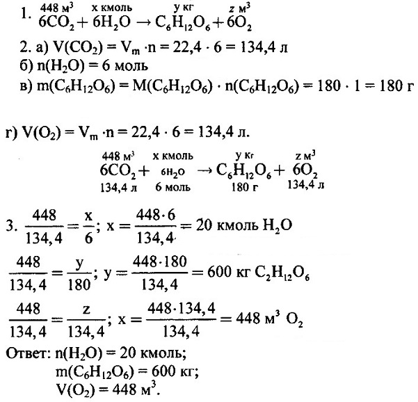
Ответ на вопрос 3

Ответ на вопрос 3

Ответ на вопрос 4

Ответ на вопрос 4

Ответ на вопрос 5

Ответ на вопрос 5

<<< К началу

 

 

???????@Mail.ru