Главная >> Химия 8 класс. Габриелян

Глава пятая. Растворение. Растворы. Реакции ионного обмена и окислительно-восстановительные реакции

§ 44. Окислительно-восстановительные реакции

Многообразие классификаций химических реакций по различным признакам (направлению, числу и составу реагирующих и образующих веществ, использованию катализатора, тепловому эффекту) можно дополнить ещё одним признаком. Этот признак — изменение степени окисления атомов химических элементов, образующих реагирующие вещества. Например, в реакции

степени окисления атомов химических элементов после реакции не изменились. А вот в другой реакции — взаимодействие соляной кислоты с цинком

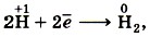
атомы двух элементов, водорода и цинка, изменили свои степени окисления: водород с +1 на 0, а цинк — с О на +2. Следовательно, в этой реакции каждый атом водорода получил по одному электрону

а каждый атом цинка отдал два электрона

Под восстановлением понимают процесс присоединения электронов атомами, ионами или молекулами. Степень окисления при этом понижается.

Например, атомы неметаллов могут присоединять электроны, превращаясь при этом в отрицательные ионы, т. е. восстанавливаясь1:

1 Далее мы будем указывать степень окисления, а не заряды ионов, так как их численные значения совпадают.

Электроны могут присоединяться и к положительным ионам, которые при этом превращаются в атомы:

Принимать электроны могут и положительные ионы, у которых при этом степень окисления понижается:

окислители

Под окислением понимают процесс отдачи электронов атомами, ионами или молекулами. Например, атомы металлов, теряя электроны, превращаются в положительные ионы, т. е. окисляются:

Отдавать электроны могут отрицательные ионы:

Терять электроны могут и некоторые положительные ионы с низшими степенями окисления:

Можно отметить, что при этом степень окисления повышается.

Продолжение >>>

 

 

???????@Mail.ru