Главная >> Химия 8 класс. Габриелян

Введение

Химические формулы. Ответы

Ответ на вопрос 1

ЗН — три атома водорода.
2O — две молекулы доды, каждая из которых состоит из одного атома кислорода и двух атомов водорода.
5O2 — пять молекул кислорода, каждая из которых состоит из двух атомов кислорода.

Ответ на вопрос 2

На 12 атомов углерода приходится 22 атома водорода 11 атомов кислорода, значит формула сахара С12Н22O11.

Ответ на вопрос з

O2: Mr(O2) = 2 • 16 = 32
S: Mr(S) = 32 • 1 = 32
Не: Мr(Не) = 4 • 1=4
СН4: Мr(СН4) = 12 • 1 + 1 • 4 = 16
СO2: Мr(СO2) = 12 • 1 + 2 • 16 = 44 С2Н6O: Мг2Н6O) =12 • 2+1 • 6 +16 • 1 = 46
СО: Мr(СО)= 12 • 1 + 16 • 1 = 28

Ответ на вопрос 4

3O— 3 атома кислорода— атомарное состояние (свободные атомы).
5O2 — 5 молекул кислорода — простое двухатомное вещество.
4СO2 — 4 молекулы углекислого газа — сложное тpexатомное вещество.

Ответ на вопрос 5

Аr и Мr не имеют единиц измерения, потому что это относительные величины, показывающие только, во сколько раз данный атом или молекула тяжелее 1/12 массы атома углерода, а не их истинные массы.

Ответ на вопрос 6

в молекуле SO2 массовая доля серы больше.

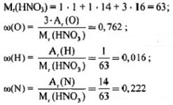
Ответ на вопрос 7

Ответ на вопрос 8

1. Вещество — глюкоза, C6H12O6.

2. Качественный состав — состоит из трех элементов: углерода, водорода и кислорода.

3. Тип вещества — сложное вещество.

4. Количественный состав вещества: в молекуле содержится 6 атомов углерода, 12 атомов водорода и 6 атомов кислорода.

5. Относительная молекулярная масса:

Мr6Н12O6) = 6 • 12+12 • 1 + 6 • 16 = 180.

6. Соотношение масс элементов в этом веществе:

m(С): m(Н): m(О) = 72 : 12 : 96 = 6 : 1 : 8.

7. Массовые доли элементов в этом веществе:

<<< К началу

 

 

???????@Mail.ru