Главная >> Химия 8 класс. Габриелян

Введение

§ 6. Химические формулы. Относительная атомная и молекулярная массы

Состав простых и сложных веществ химики всего мира отражают очень красиво и лаконично в виде химических формул. Химические формулы — это аналоги слов, которые записывают с помощью букв — знаков химических элементов.

Выразим с помощью химических символов состав самого распространённого вещества на Земле — воды. В молекулу воды входят два атома водорода и один атом кислорода. Теперь переведём это предложение в химическую формулу, используя химические символы (водорода — Н и кислорода — О). Число атомов в формуле запишем с помощью индексов — цифр, стоящих внизу справа от химического символа (индекс 1 для кислорода не пишут): Н2О (читают «аш-два-о»).

Формулы простых веществ водорода и кислорода, молекулы которых состоят из двух одинаковых атомов, записывают так: Н2 (читают «аш-два») и О2 (читают «о-два») (рис. 26). Чтобы отразить число молекул, используют коэффициенты, которые пишут перед химическими формулами: например, запись 2СО2 (читают «два-цэ-о-два») означает две молекулы углекислого газа, каждая из которых состоит из одного атома углерода и двух атомов кислорода.

Модели молекул

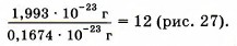
Аналогично записывают коэффициенты, когда указывают число свободных атомов химического элемента. Например, нам нужно записать выражение: пять атомов железа и семь атомов кислорода. Делают это следующим образом: 5Fe и 7О. Размеры молекул, а тем более атомов настолько малы, что их невозможно рассмотреть даже в лучшие оптические микроскопы, дающие увеличение в 5—6 тысяч раз. Их невозможно рассмотреть и в электронные микроскопы, дающие увеличение в 40 тысяч раз. Естественно, что ничтожно малому размеру молекул и атомов соответствуют и ничтожно малые их массы. Учёные рассчитали, например, что масса атома водорода равна 0,000 000 000 000 000 000 000 001 674 г, что можно представить как 1,674 • 10-24 г, масса атома кислорода равна 0,000 000 000 000 000 000 000 026 667 г, или 2,6667 • 10-23 г, масса атома углерода равна 1,993 • 10-23 г, а масса молекулы воды равна 3,002 • 10- 23 г.

Рассчитаем, во сколько раз масса атома кислорода больше массы атома водорода, самого лёгкого элемента:

Аналогично, масса атома углерода больше массы атома водорода в 12 раз:

Масса молекулы воды больше массы атома водорода в 18 раз (рис. 28). Эти величины показывают, во сколько раз масса атома данного химического элемента больше массы атома водорода, т. е. являются относительными.

Масса атома

своё значение атомной массы

В настоящее время учёные-физики и учёные-химики придерживаются мнения, что относительная атомная масса элемента — это величина, показывающая, во сколько раз масса его атома больше 1/12 массы атома углерода. Относительную атомную массу обозначают Ar, где r — начальная буква английского слова relative, что означает «относительный». Например,

формула С02

Каждый химический элемент имеет своё значение относительной атомной массы (рис. 29). Значения относительных атомных масс химических элементов указаны в соответствующих им клетках таблицы Д. И. Менделеева.

Аналогично, относительную молекулярную массу вещества обозначают Мr, например Мr2О) = 18.

Относительная атомная масса элемента АТ и относительная молекулярная масса вещества Мr — величины, которые не имеют единиц измерения.

Продолжение >>>

 

 

???????@Mail.ru