Главная >> Химия 9 класс. Габриелян

Глава 2. Металлы

§ 15. Бериллий, магний и щёлочноземельные металлы

Простые вещества

Строение и свойства атомов. Бериллий Be, магний Mg и щёлочноземельные металлы: кальций Са, стронций Sr, барий Ва и радий Ra — элементы главной подгруппы II группы (НА группы) Периодической системы Д. И. Менделеева. Атомы этих элементов содержат на внешнем энергетическом уровне два электрона, которые они отдают при химических взаимодействиях, и поэтому являются сильнейшими восстановителями. Во всех соединениях они имеют степень окисления +2. С увеличением порядкового номера сверху вниз в подгруппе восстановительные свойства элементов усиливаются, что связано с увеличением радиусов их атомов.

Радий — радиоактивный элемент, содержание его в природе невелико.

Бериллий, магний и щёлочноземельные металлы — простые вещества. Лёгкие серебристо-белые металлы, стронций имеет золотистый оттенок. Он значительно твёрже бария, барий же по мягкости напоминает свинец.

На воздухе при обычной температуре поверхность бериллия и магния покрывается защитной оксидной плёнкой. Щёлочноземельные металлы взаимодействуют с кислородом воздуха более активно, поэтому их хранят под слоем керосина или в запаянных сосудах, как и щелочные металлы.

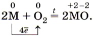
При нагревании на воздухе все рассматриваемые металлы (обозначим их М) энергично сгорают с образованием оксидов:

Реакция сжигания магния

Реакция сжигания магния сопровождается ослепительной вспышкой, раньше её применяли при фотографировании объектов в тёмных помещениях. В настоящее время используют электрическую вспышку.

Бериллий, магний и все щёлочноземельные металлы взаимодействуют при нагревании с неметаллами — хлором, серой, азотом и т. д., образуя соответственно хлориды, сульфиды и нитриды:

При высоких температурах металлы главной подгруппы II группы (IIА группы) Периодической системы Д. И. Менделеева окисляются водородом до гидридов:

Гидриды — это твёрдые солеподобные соединения металлов с водородом, похожие на галогениды — соединения металлов с галогенами. Теперь, очевидно, вам стало понятно, почему водород находится и в главной подгруппе VII группы (VIIA группы).

Из всех металлов главной подгруппы II группы (ИА группы) Периодической системы Д. И. Менделеева только бериллий практически не взаимодействует с водой (препятствует защитная плёнка на его поверхности), магний реагирует с ней медленно, остальные металлы бурно взаимодействуют с водой при обычных условиях (рис. 54):

Взаимодействие с водой металлов главной подгруппы

Подобно алюминию, магний и кальций способны восстанавливать редкие металлы — ниобий, тантал, молибден, вольфрам, титан и др. — из их оксидов, например:

Такие способы получения металлов по аналогии с алюминотермией называют магниетермией и калъциетермией.

Магний и кальций применяют для производства редких металлов и лёгких сплавов. Например, магний входит в состав дюралюминия, а кальций — один из компонентов свинцовых сплавов, необходимых для изготовления подшипников и оболочек кабелей.

Соединения бериллия, магния и щёлочноземельных металлов. В природе щёлочноземельные металлы, как и щелочные металлы, находятся только в форме соединений вследствие своей высокой химической активности.

Оксиды МО — твёрдые белые тугоплавкие вещества, устойчивые к воздействию высоких температур. Проявляют основные свойства, кроме оксида бериллия, имеющего амфотерный характер.

Оксид магния малоактивен в реакции с водой, все остальные оксиды очень бурно взаимодействуют с ней:

Оксид магния

Оксиды получают обжигом карбонатов:

Оксиды

В технике оксид кальция СаО называют негашёной известью, a MgO — жжёной магнезией. Оба этих оксида используют в производстве строительных материалов.

Лабораторный опыт № 15

Гидроксиды щёлочноземельных металлов относятся к щелочам. Их растворимость в воде увеличивается в ряду Са(ОН)2→Sr(OH)2→Ва(ОН)2. Эти гидроксиды получают взаимодействием соответствующего оксида с водой.

Реакция оксида кальция с водой сопровождается выделением большого количества теплоты и называется гашением извести (рис. 55), а образующийся Са(ОН)2гашёной известью:

Гашение извести

Прозрачный раствор гидроксида кальция называют известковой водой, а белую взвесь Са(ОН)2 в воде — известковым молоком. Гашёную известь широко используют в строительстве. Известковое молоко применяют в сахарной промышленности для очистки свекловичного сока.

Соли бериллия, магния и щёлочноземельных металлов получают взаимодействием их с кислотами. Галогениды (фториды, хлориды, бромиды и иодиды) этих металлов — белые кристаллические вещества, большинство из них растворимо в воде. Из сульфатов хорошо растворимы в воде только сульфаты бериллия и магния. Растворимость сульфатов элементов главной подгруппы II группы Периодической системы Д. И. Менделеева уменьшается от BeSO4 к BaSO4. Карбонаты этих металлов малорастворимы или нерастворимы в воде.

Сульфиды щёлочноземельных металлов, содержащие в малых количествах примеси тяжёлых металлов, после предварительного освещения начинают светиться различными цветами — красным, оранжевым, голубым, зелёным. Они входят в состав специальных светящихся красок, которые называют фосфорами.

Гашение извести

Природные соединения кальция

Их используют для изготовления светящихся дорожных знаков, циферблатов часов и других изделий.

Рассмотрим наиболее важные соединения элементов главной подгруппы II группы (IIА группы) Периодической системы Д. И. Менделеева.

СаСO3карбонат кальция — одно из самых распространённых на Земле соединений. Вам хорошо известны такие содержащие его минералы, как мел, мрамор, известняк (рис. 56).

Скульптура М. М. Антокольского «Царь Иоанн Васильевич Грозный»

Мрамор — это минерал скульпторов, архитекторов и облицовщиков. Из него создавали свои прекрасные творения многие скульпторы (рис. 57). Стены всемирно известного индийского мавзолея Тадж-Махал выложены из мрамора (рис. 58), им же облицованы многие станции московского метро (рис. 59).

Однако самый важный из этих минералов — известняк, без которого не обходится ни одно строительство. Во-первых, он сам является прекрасным строительным камнем (вспомните знаменитые одесские катакомбы — бывшие каменоломни, в которых добывали камень для строительства города), во-вторых, это сырьё для получения других материалов: цемента, гашёной и негашёной извести, стекла и др.

Известковой щебёнкой укрепляют дороги, а порошком уменьшают кислотность почв.

Природный мел представляет собой остатки раковин древних животных. Один из примеров его использования — это школьные мелки, зубные пасты. Мел применяют в производстве бумаги, резины, побелки.

MgCO3карбонат магния, необходим в производстве стекла, цемента, кирпича, а также в металлургии для перевода пустой породы, т. е. не содержащей соединения металла, в шлак.

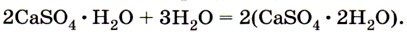
CaSO4сульфат кальция, встречается в природе в виде минерала гипса CaSO4 • 2Н2O, представляющего собой кристаллогидрат. Используют в строительстве, в медицине для наложения фиксирующих гипсовых повязок, получения слепков (рис. 60). Для этого применяют

Тадж-Махал

Станция московского метрополитена «Трубная»

полуводный гипс 2CaSO4 • Н2O — алебастр, который при взаимодействии с водой образует двуводный гипс:

Двуводный гипс:

Эта реакция идёт с выделением теплоты.

MgSO4сульфат магния, известный под названием горькая, или английская, соль, используют в медицине в качестве слабительного средства. Содержится в морской воде и придаёт ей горький вкус.

BaSO4сульфат бария, благодаря нерастворимости и способности задерживать рентгеновские лучи применяют в рентгенодиагностике («баритовая каша») для диагностики заболеваний желудочно-кишечного тракта (рис. 61).

Са3(РO4)2фосфат кальция, входит в состав фосфоритов (горная порода) и апатитов (минерал), а также в состав костей и зубов. В организме взрослого человека содержится более 1 кг кальция в виде соединения Са3(РO4)2.

Гипс применяется: в медицине для изготовления гипсовых повязок

Кальций имеет важное значение для живых организмов, это материал для постройки костного скелета. Он играет существенную роль в процессах жизнедеятельности: ионы кальция необходимы для работы сердца, участвуют в процессах свёртывания крови.

На долю кальция приходится более 1,5% массы тела человека, 98% кальция содержится в костях. Однако кальций необходим не только при формировании скелета, но и для работы нервной системы.

Человек должен получать в день 1,5 г кальция. Наибольшие количества кальция содержатся в сыре, твороге, петрушке, салате.

Баритовую кашу» используют в медицине для рентгенодиагностики

Магний также является необходимым биоэлементом, играя роль стимулятора обмена веществ, содержится в печени, костях, крови, нервной ткани и мозге. Магния в человеческом организме намного меньше, чем кальция, — всего около 40 г.

Магний входит в состав хлорофилла, а следовательно, участвует в процессах фотосинтеза. Без хлорофилла не было бы жизни, а без магния — хлорофилла, ведь в нём содержится 2% этого элемента.

Соли щёлочноземельных металлов окрашивают пламя в яркие цвета, поэтому эти соединения добавляют в составы для фейерверков (рис. 62).

Открытие магния и кальция. Магний был впервые получен Г. Дэви в 1808 г. из белой магнезии — минерала, найденного близ греческого города Магнезия. По названию минерала и дали название простому веществу и химическому элементу.

Полученный Г. Дэви металл был загрязнён примесями, а чистый магний получил француз А. Бюсси в 1829 г.

Кальций был впервые получен также Г. Дэви в 1808 г. Название элемента происходит от латинского слова кальс, что означает «известь, мягкий камень».

Красочность фейерверков обусловлена солями щёлочноземельных металлов

1. Обратитесь к электронному приложению. Изучите материал урока и выполните предложенные задания.

2. Найдите в Интернете электронные адреса, которые могут служить дополнительными источниками, раскрывающими содержание ключевых слов и словосочетаний параграфа. Предложите учителю свою помощь в подготовке нового урока — сделайте сообщение по ключевым словам и слово-сочетаниям следующего параграфа.

задания

1. Массовая доля костей человека составляет 20% от общей массы организма. На долю фосфата кальция, входящего в состав костей, приходится также 20% от массы костей. Зная массу своего тела, рассчитайте, сколько килограммов фосфата кальция содержится в вашем организме. Сколько килограммов кальция содержится в нём?

2. Вспомните из курса анатомии, что такое гемофилия. Почему гемофиликам вводят при кровотечениях раствор хлорида кальция?

3. Вычислите количество вещества гашёной извести, которое может быть получено из 2 т известняка, содержащего 25% примесей.

4. Напишите уравнения реакций, с помощью которых можно осуществить следующие превращения:

Какие металлы главной подгруппы II группы (IIА группы) Периодической системы Д. И. Менделеева могут быть использованы для этих превращений, а какие — нет? Почему?

5. Напишите уравнения реакций для осуществления превращений:

Уравнение последней реакции запишите также в ионной форме.

6. Используя в качестве примера приведённое в предыдущем параграфе сочинение ученицы, напишите своё сочинение о химическом веществе или процессе, посвящённое химии щёлочноземельных металлов.

7. Почему в медицине для гипсовых повязок используют не гипс CaSO4 • 2Н2O, а алебастр 2CaSO4 • Н2O? Какой процесс происходит при наложении такой повязки?

 

 

???????@Mail.ru