Главная >> Химия 9 класс. Габриелян

Глава 2. Металлы

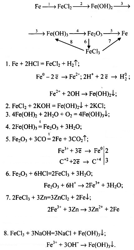
Железо: Ответы

Ответ на вопрос 1

Ответ на вопрос 1

Ответ на вопрос 2

Ответ на вопрос 2

Ответ на вопрос 3

Ответ на вопрос 3

Ответ на вопрос 4

Ответ на вопрос 4

Ответ на вопрос 5

Ответ на вопрос 5

Ответ на вопрос 6

Ответ на вопрос 6

Ответ на вопрос 7

Предоставляем вам свободу для творчества

 

 

???????@Mail.ru