Главная >> Химия 9 класс. Габриелян

. Глава 3. Неметаллы

§ 22. Галогены

Строение и свойства атомов. Элементы главной подгруппы VII группы Периодической системы Д. И. Менделеева, объединённые под общим названием галогены, — фтор F, хлор Сl, бром Вг, иод I, астат At (редко встречающийся в природе) — типичные неметаллы.

Галогены

Это и понятно, ведь их атомы содержат на внешнем энергетическом уровне семь электронов, и им недостаёт лишь одного электрона, чтобы завершить его. Атомы галогенов при взаимодействии с металлами принимают электрон от атомов металлов. При этом возникает ионная связь и образуются соли.

Отсюда и происходит общее название подгруппы «галогены», т. е. «рождающие соли».

Галогены — очень сильные окислители. Фтор в химических реакциях проявляет только окислительные свойства, и для него характерна только степень окисления -1 в соединениях. Остальные галогены проявляют и восстановительные свойства при взаимодействии с более электроотрицательными элементами — фтором, кислородом, азотом. Их степени окисления могут принимать значения +1, +3, +5, +7.

Восстановительные свойства галогенов усиливаются от хлора к иоду, что связано с увеличением радиусов их атомов: атомы хлора примерно в полтора раза меньше, чем иода.

Галогены — простые вещества. Все галогены существуют в свободном состоянии в виде двухатомных молекул с ковалентной неполярной химической связью между атомами. В твёрдом состоянии F2, Сl2, Вг2, I2 имеют молекулярные кристаллические решётки, что и подтверждается их физическими свойствами (табл. 7).

Как можно заметить, с увеличением молекулярной массы галогенов повышаются их температуры плавления и кипения (рис. 88), возрастает плотность: фтор и хлор — газы, бром — жидкость, иод — твёрдое вещество. Это связано с тем, что с увеличением размеров атомов и молекул галогенов (рис. 89) возрастают и силы межмолекулярного взаимодействия между ними.

Свойства галогенов

От F2 к I2 усиливается интенсивность окраски галогенов. Кристаллы иода имеют металлический блеск.

Химическая активность галогенов, как неметаллов, от фтора к иоду ослабевает. Каждый галоген является самым сильным окислителем в своём периоде. Окислительные свойства галогенов отчетливо проявляются при их взаимодействии с металлами. При этом, как вы уже знаете, образуются соли.

Плавления и кипения галогенов

Так, фтор уже при обычных условиях реагирует с большинством металлов, а при нагревании — и с золотом, серебром, платиной, известными своей химической пассивностью. Алюминий и цинк в атмосфере фтора воспламеняются:

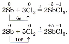
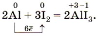
Остальные галогены реагируют с металлами в основном при нагревании. Так, в колбе, наполненной хлором, красиво вспыхивают и сгорают кристаллики измельчённой сурьмы (рис. 90), образуя при этом смесь двух хлоридов сурьмы (III) и (V):

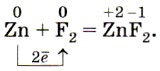
Нагретый порошок железа также загорается при взаимодействии с хлором. Опыт можно провести и с сурьмой, но только железные опилки нужно предварительно накалить в железной ложечке, а затем высыпать их небольшими порциями в колбу с хлором. Так как хлор является сильным окислителем, то в результате реакции образуется хлорид железа (III) (рис. 91):

В парах брома сгорает раскалённая медная проволока:

Горение железа в хлоре

Иод окисляет металлы медленнее, но в присутствии воды, которая является катализатором, реакция иода с порошком алюминия протекает очень бурно:

Реакция сопровождается выделением фиолетовых паров иода (почему?).

Об уменьшении окислительных и увеличении восстановительных свойств галогенов от фтора к иоду можно судить и по их способности вытеснять друг друга из растворов солей.

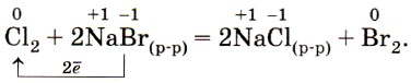
Так, хлор вытесняет бром и иод из растворов их солей (рис. 92), например:

Вытеснение брома из его соли более активным галогеном — хлорной водой

Свободный бром вытесняет иод из солей:

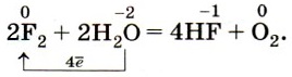
Для фтора эта реакция не характерна, так как она протекает в растворе, а фтор взаимодействует с водой, вытесняя из неё кислород:

Здесь кислород выступает в непривычной для себя роли восстановителя. Это, пожалуй, единственный случай, когда кислород в реакции горения является не одним из исходных веществ, а её продуктом.

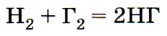
Ослабление окислительных свойств галогенов от фтора к иоду наглядно проявляется при взаимодействии их с водородом. Уравнение этой реакции можно записать в общем виде:

(Г — условное химическое обозначение галогенов).

Если фтор взаимодействует с водородом в любых условиях со взрывом, то смесь хлора с водородом реагирует со взрывом только при поджигании или облучении прямым солнечным светом, бром взаимодействует с водородом при нагревании и без взрыва. Эти реакции экзотермические. Реакция же соединения кристаллического иода с водородом слабоэндотермическая, она протекает медленно даже при нагревании.

В результате этих реакций образуются соответственно фтороводород HF, хлороводород НСl, бромоводород НВr и иодоводород HI.

Открытие галогенов. Фтор в свободном виде получил впервые в 1886 г. французский химик А. Муассан, который был удостоен за это Нобелевской премии. Своё название элемент получил от греческого фторос — « разрушающий ».

Хлор открыт шведским химиком К. Шееле в 1774 г. Элемент получил название за цвет простого вещества (от греч. хлорос — жёлто-зелёный).

Шееле Карл Вильгельм

Бром открыт в 1826 г. французским химиком А. Ба- ларом. Элемент назван так за запах простого вещества (от греч. бромос — зловонный).

Иод получен в 1811 г. французским учёным Б. Кур- туа, а название получил за цвет паров простого вещества (от греч. иодэс — фиолетовый).

1. Обратитесь к электронному приложению. Изучите материал урока и выполните предложенные задания.

2. Найдите в Интернете электронные адреса, которые могут служить дополнительными источниками, раскрывающими содержание ключевых слов и словосочетаний параграфа. Предложите учителю свою помощь в подготовке нового урока — сделайте сообщение по ключевым словам и словосочетаниям следующего параграфа.

1. Рассчитайте массу 1 л фтора и хлора при н. у. Найдите их относительную плотность по водороду и воздуху.

2. Растворы хлора, брома и иода в воде соответственно называют хлорной, бромной и йодной водой. Почему нет фторной воды?

3. Проведите аналогию между реакциями щелочных металлов и фтора с растворами солей.

4. Рассчитайте степени окисления атомов химических элементов в следующих соединениях: КСlO3 (бертолетова соль), НСlO (хлорноватистая кислота), НСlO4 (хлорная кислота). Напишите формулы оксидов, соответствующих кислотам.

5. Вычислите объём хлора (н. у.), который потребуется для вытеснения всего иода из 300 г 15%-го раствора иодида калия. Вычислите количество вещества новой соли, которое при этом образуется.

6. Вычислите объём хлороводорода, который образуется при взаимодействии 150 л хлора с 200 л водорода. Какой газ взят в избытке? Вычислите объём, который займёт избыток этого газа.

7. Во многих странах фтор носит другое название — флюор, что в переводе с латинского означает «текучий». Найдите объяснение этого названия, используя химические словари и другую литературу.

 

 

???????@Mail.ru