Главная >> Химия 9 класс. Габриелян

Глава 3. Неметаллы

§ 23. Соединения галогенов

Галогеноводороды и галогеноводородные кислоты. Все галогеноводороды (общую формулу их можно записать как НГ) — бесцветные газы, с резким запахом, токсичны. Очень хорошо растворяются в воде и дымятся во влажном воздухе, так как притягивают находящиеся в воздухе водяные пары, образуя при этом туманное облако.

На рисунке 93 проиллюстрирован опыт, наглядно показывающий хорошую растворимость хлороводорода в воде (при обычных условиях в одном объёме воды растворяется около 500 его объёмов).

Растворение хлороводорода в воде:

Получение хлороводорода

Растворы галогеноводородов в воде являются кислотами, это HF — фтороводородная, или плавиковая, кислота, НСl — хлороводородная, или соляная, кислота, НВг — бромоводородная кислота, HI — иодоводородная кислота. Способность их к электролитической диссоциации с образованием катионов водорода увеличивается от HF к HI.

Самая сильная из галогеноводородных кислот — иодоводородная, а самая слабая — фтороводородная. Большая прочность химической связи Н—F (поэтому фтороводородная кислота слабо диссоциирует в воде) обусловлена малым размером атома F и соответственно малым расстоянием между ядрами атомов водорода и фтора. С увеличением радиуса атома от F к I растёт и расстояние Н—Г, прочность молекул уменьшается и соответственно способность к электролитической диссоциации увеличивается.

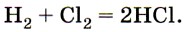
Наиболее технически важными являются хлороводород и соляная кислота. В промышленности хлорово- дород получают синтезом из водорода и хлора:

Хлороводород

В лабораторных условиях для получения хлороводорода используют реакцию, проводимую при нагревании (рис. 94):

Получение хлороводорода

Необратимому протеканию этой реакции способствует летучесть НСl.

Соляная кислота представляет собой бесцветную, дымящуюся на воздухе жидкость, которая несколько тяжелее воды. Это типичная кислота, взаимодействует с металлами, оксидами и гидроксидами металлов и солями (приведите уравнения соответствующих реакций и охарактеризуйте их в свете теории электролитической диссоциации и процессов окисления и восстановления там, где это имеет место).

Соляная кислота находит широкое применение в промышленности (рис. 95).

Соли галогеноводородных кислот. Галогеноводородные кислоты образуют соли: фториды, хлориды, бромиды и иодиды. Хлориды, бромиды и иодиды многих металлов хорошо растворимы в воде.

Для определения в растворе хлорид-, бромид- и иодид-ионов и их различения используют реакцию с нитратом серебра AgNO3 (рис. 96). В результате реакции хлоридов (и самой соляной кислоты) с этим реактивом выпадает белый творожистый осадок хлорида серебра AgCl, сокращённое ионное уравнение этой реакции записывается так:

Применение соляной кислоты

Качественные реакции на галогенид-ионы

В реакциях с бромоводородной кислотой и её солями и с иодоводородной кислотой и её солями также образуются осадки, но только жёлтого цвета, которые различаются оттенками:

Лабораторный опыт № 26

Качественная реакция на фторид-ион

А вот для распознавания фтороводородной кислоты и её солей (фторидов) нитрат серебра в качестве реактива непригоден, так как образующийся фторид серебра AgF растворим в воде. Для доказательства присутствия в растворе фторид-ионов F- можно использовать реакцию с ионами кальция Са2+ так как фторид кальция CaF2 выпадает в осадок (рис. 97).

Своё название плавиковая кислота получила из-за уникального свойства: при взаимодействии с оксидом кремния (IV), входящим в состав стекла, как бы плавить его:

Репродукции картин М. К. Чюрлёниса

Каменная соль

Галогены в природе. Галогены в природе существуют только в связанном состоянии. Среди них наиболее распространены хлор (0,19% от массы земной коры) и фтор (0,03%).

Морская водоросль ламинария богата иодом

Важнейшее природное соединение хлора — галит NaCl (рис. 99), с ним вы подробно знакомились в прошлом году. Галит добывают путём разработки залежей каменной соли — твёрдого хлорида натрия.

Кроме галита, встречается природный хлорид калия КСl. Это минералы сильвин (рис. 100) и сильвинит (смесь КСl и NaCl, состав которой отражают формулой KCl • NaCl).

Природный минерал фтора — это флюорит, или плавиковый шпат CaF2 (рис. 101).

Бром и иод — рассеянные элементы и своих минералов не образуют. Эти элементы концентрируются в водах океанов и морей, в водах буровых скважин, а также в водорослях (рис. 102).

1. Обратитесь к электронному приложению. Изучите материал урока и выполните предложенные задания.

2. Найдите в Интернете электронные адреса, которые могут служить дополнительными источниками, раскрывающими содержание ключевых слов и словосочетаний параграфа. Предложите учителю свою помощь в подготовке нового урока — сделайте сообщение по ключевым словам и словосочетаниям следующего параграфа.

1. Докажите зависимость степени электролитической диссоциации от природы электролита на примере галогеноводородных кислот.

2. В четырёх пробирках находятся прозрачные растворы фторида, хлорида, бромида и иодида натрия. Как распознать эти вещества с помощью одного реактива?

3. Напишите не менее четырёх-пяти уравнений реакций получения хлорида магния. Там, где это имеет место, запишите и ионные уравнения и рассмотрите окислительновосстановительные процессы.

4. Напишите уравнения химических реакций, иллюстрирующие следующие превращения:

Укажите окислительно-восстановительные реакции и разберите их. Уравнения реакций с участием электролитов запишите также в ионной форме.

 

 

???????@Mail.ru