Главная >> Химия 9 класс. Габриелян

Глава 3. Неметаллы

§ 27. Соединения серы

Сероводород и сульфиды. Сероводород H2S — бесцветный газ с резким запахом. Очень ядовит, вызывает отравление даже при незначительном содержании в воздухе (около 0,01%). Сероводород тем более опасен, что он может накапливаться в организме. Он соединяется с железом гемоглобина крови, что может привести к обморочному состоянию и смерти от кислородного голодания. В присутствии паров органических веществ токсичность H2S резко возрастает.

Вместе с тем сероводород является составной частью некоторых минеральных вод (Пятигорск, Серноводск, Мацеста), применяемых с лечебной целью.

Сероводород содержится в вулканических газах и постоянно образуется на дне Чёрного моря. До верхних слоёв сероводород не доходит, так как на глубине 150 м взаимодействует с проникающим сверху кислородом и окисляется им до серы. Сероводород образуется при гниении белка, поэтому, например, тухлые яйца пахнут сероводородом.

При растворении сероводорода в воде образуется слабая сероводородная кислота, соли которой называют сульфидами. Сульфиды щелочных и щёлочноземельных металлов, а также сульфид аммония хорошо растворяются в воде, сульфиды остальных металлов нерастворимы и окрашены в различные цвета, например: ZnS — белый, PbS — чёрный, MnS — розовый (рис. 120).

Сульфиды металлов

Сероводород горит. При охлаждении пламени (внесении в него холодных предметов) образуется свободная сера:

Сероводород

Если же пламя не охлаждать и обеспечить избыток кислорода, то получается оксид серы (IV):

Оксид серы

Сероводород — сильнейший восстановитель.

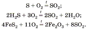
Оксид серы (IV), сернистая кислота и её соли. При горении серы, полном сгорании сероводорода и обжиге сульфидов образуется оксид серы (IV) SO2, который, как отмечено ранее, часто называют также сернистым газом. Это бесцветный газ с характерным резким запахом. Он проявляет типичные свойства кислотных оксидов и хорошо растворяется в воде, образуя слабую сернистую кислоту. Она неустойчива и разлагается на исходные вещества:

Сернистая кислота

Соли сернистой кислоты, как двухосновной, могут быть средними — сульфитами, например сульфит натрия Na2SO3, и кислыми — гидросульфитами, например гидросульфит натрия NaHSO3. Гидросульфит и сульфит натрия, как и сернистый газ, используют для отбеливания шерсти, шёлка, бумаги и соломы, а также в качестве консервирующих средств для сохранения свежих плодов и фруктов.

Серная кислота и её соли. При окислении оксида серы (IV) образуется оксид серы (VI):

Оксид серы

Реакция начинается только при относительно высоких температурах (420—650 °С) и протекает в присутствии катализатора (платины, оксидов ванадия, железа и т. д.).

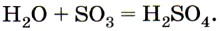
Оксид серы (VI) SO3 в обычных условиях — летучая бесцветная жидкость с удушающим запахом. Этот типичный кислотный оксид, растворяясь в воде, образует серную кислоту:

Серная кислота

Химически чистая серная кислота — бесцветная маслянистая тяжёлая жидкость. Она обладает сильным гигроскопическим (водоотнимающим) свойством, поэтому применяется для осушения веществ. Концентрированная серная кислота способна отнимать воду у молекул органических веществ, обугливая их. Если нанести на фильтровальную бумагу рисунок с помощью раствора серной кислоты, а затем подогреть её, то бумага почернеет (рис. 121, а) и рисунок проявится.

Обугливание бумаги (а) и сахара (б) концентрированной серной кислотой

Если в высокий стеклянный стакан поместить сахарную пудру, смочить её водой и прилить, перемешивая содержимое стакана стеклянной палочкой, концентрированную серную кислоту, то через 1—2 мин содержимое стакана начнёт чернеть, вспучиваться и в виде объёмистой рыхлой массы подниматься вверх (рис. 121,6). Смесь в стакане при этом сильно разогревается. Уравнение реакции взаимодействия концентрированной серной кислоты с сахарной пудрой (сахарозой C12H22O11)

объясняет опыт: образующиеся в результате реакции газы вспучивают образующийся уголь, выталкивая его из стакана вместе с палочкой.

Концентрированная серная кислота хорошо растворяет оксид серы (VI), раствор SO3 в серной кислоте называют олеумом.

Правило разбавления концентрированной серной кислоты вы уже знаете, но повторим его ещё раз: нельзя приливать воду к кислоте (почему?), следует осторожно, тоненькой струйкой вливать кислоту в воду, непрерывно перемешивая раствор.

Химические свойства серной кислоты в значительной степени зависят от её концентрации.

Разбавленная серная кислота проявляет все характерные свойства кислот: взаимодействует с металлами, стоящими в ряду напряжений до водорода, с выделением Н2, с оксидами металлов (основными и амфотерными), с основаниями, с амфотерными гидроксидами и солями.

Лабораторный опыт № 29

Поскольку серная кислота двухосновна, она образует два ряда солей: средние — сульфаты, например Na2SO4, и кислые — гидросульфаты, например NaHSO4.

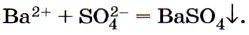
Реактивом на серную кислоту и её соли является хлорид бария ВаСl2; сульфат-ионы с ионами Ва2+ образуют белый нерастворимый сульфат бария, выпадающий в осадок (рис. 122):

Концентрированная серная кислота по свойствам сильно отличается от разбавленной кислоты. Так, при взаимодействии H2SO4(конц) с металлами водород не выделяется. С металлами, стоящими правее водорода в ряду напряжений (медью, ртутью и др.), реакция протекает так:

Процессы окисления и восстановления, происходящие при этом, можно записать так:

Качественная реакция на сульфат-ион

При взаимодействии с металлами, находящимися в ряду напряжений до водорода, концентрированная серная кислота восстанавливается до S, SO2 или H2S в зависимости от положения металла в ряду напряжений и условий протекания реакции, например:

Теперь вам понятно, что с H2SO4(конц) взаимодействуют металлы, стоящие в ряду напряжений как до водорода, так и после него. При этом водород не образуется, так как окислителем в такой реакции являются не катионы водорода Н+, как у H2SO4(paзб), а сульфат-ионы .

Железо и алюминий пассивируются концентрированной серной кислотой, т. е. покрываются защитной плёнкой, поэтому концентрированную кислоту можно перевозить в стальных и алюминиевых цистернах. Будучи нелетучей сильной кислотой, концентрированная серная кислота способна вытеснять другие кислоты из их солей. Вы уже знаете такую реакцию, например получение хлороводорода:

Серная кислота — один из важнейших продуктов, используемых в разных отраслях промышленности (рис. 123). Основные области её применения: производство минеральных удобрений, металлургия, очистка нефтепродуктов.

Применение серной кислоты

Серную кислоту применяют также в производстве других кислот, моющих средств, взрывчатых веществ, лекарств, красок, в качестве электролита для свинцовых аккумуляторов. На рисунке 124 показано, какое количество серной кислоты (в %) от общего мирового производства используют в различных отраслях промышленности.

Доля расхода серной кислоты на различные нужды промышленного производства

Из солей серной кислоты наибольшее значение имеют уже известные вам сульфат натрия, или глауберова соль, Na2SO4 • 10Н2O, гипс CaSO4 • 2Н2O и сульфат бария BaSO4 (где их применяют?).

Медный купорос CuSO4 • 5Н2O используют в сельском хозяйстве для борьбы с вредителями и болезнями растений.

Производство серной кислоты. Получают серную кислоту в три стадии.

Химические процессы производства серной

1. Получение SO2. В качестве сырья применяют серу, колчедан или сероводород:

2. Получение SO3. Этот процесс вам уже известен — окисление кислородом проводят с использованием катализатора (запишите уранение реакции и дайте её полную характеристику).

3. Получение H2SO4. А вот здесь, в отличие от известной вам реакции, описываемой уравнением:

процесс растворения оксида серы (VI) проводят не в воде, а в концентрированной серной кислоте, при этом получается знакомый вам олеум.

Производство серной кислоты создаёт немало экологических проблем. Выбросы и отходы сернокислотных заводов оказывают крайне негативное воздействие, вызывая поражения дыхательной системы у человека и животных, гибель растительности и подавление её роста, повышение коррозионного износа материалов, разрушение сооружений из известняка и мрамора, закисление почв и др.

1. Обратитесь к электронному приложению. Изучите материал урока и выполните предложенные задания.

2. Найдите в Интернете электронные адреса, которые могут служить дополнительными источниками, раскрывающими содержание ключевых слов и словосочетаний параграфа. Предложите учителю свою помощь в подготовке нового урока — сделайте сообщение по ключевым словам и словосочетаниям следующего параграфа.

задания

1. Какое из веществ проявляет только восстановительные, только окислительные или и окислительные, и восстановительные свойства: сера, сероводород, оксид серы (IV), серная кислота? Почему? Подтвердите свой ответ уравнениями соответствующих реакций.

2. Охарактеризуйте: а) сернистый газ; б) оксид серы (VI) по плану: получение, свойства, применение. Напишите уравнения соответствующих реакций.

3. Напишите уравнения реакций, характеризующих свойства разбавленной серной кислоты как электролита. Какое свойство является окислительно-восстановительным процессом? Какие реакции можно отнести к реакциям ионного обмена? Рассмотрите их с точки зрения теории электролитической диссоциации.

4. Напишите уравнения реакций, лежащих в основе получения серной кислоты, согласно приведённой в параграфе схеме.

5. В 400 мл воды растворили 40 г оксида серы (VI) (н. у.). Вычислите массовую долю серной кислоты в полученном растворе.

6. Дайте характеристику реакции синтеза оксида серы (VI), используя все изученные вами классификации реакций.

7. В 5 л воды растворили 500 г медного купороса. Вычислите массовую долю сульфата меди (II) в полученном растворе.

8. Почему серную кислоту называют «хлебом химической промышленности » ?

 

 

???????@Mail.ru