Главная >> Химия 9 класс. Габриелян

Глава 3. Неметаллы

Кислородные соединения углерода. Ответы

Ответ на вопрос 1

Ответ на вопрос 2

Несолеобразующие, или индифферентные оксиды, не реагирующие с водой — это, например, СО, NO, SiO (крайне не устойчивый).

Ответ на вопрос 3

Ответ на вопрос 4

При растворении углекислого газа в воде образуется слабая угольная кислота, поэтому лакмус имеет красную окраску.

При стоянии раствора угольная кислота разлагается и раствор снова становится нейтральным.

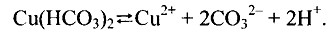
Ответ на вопрос 5

СиСО3 — средняя моль — карбонат меди (II),

Сu(НСO3)2 — кислая соль — гидрокарбонат меди (III),

(СuОН)2СО3 — основная соль — гидроксокарбонат меди (II) (малахит).

Из перечисленных солей только Сu(НСO3)2 является электролитом.

Ответ на вопрос 6

Ответ на вопрос 7

 

 

???????@Mail.ru