Главная >> Химия 9 класс. Габриелян

Глава 3. Неметаллы

Кремний и его соединения. Ответы

Ответ на вопрос 1

Диоксид кремния и углекислый газ являются кислотными оксидами. Однако, в отличие от СО2 оксид кремния (IV) имеет не молекулярную, а атомную кристаллическую решетку. Поэтому SiO2 является твердым и тугоплавким веществом, а СO2 является газом. Углекислый газ взаимодействует с водой с образованием угольной кислоты: Н2O + СO Н2СO3, взаимодействует с щелочами: СO2 + 2NaOH = Na2CO3 + Н2O, реагирует с основными оксидами: СО2 + СаО = СаСO3, вступает в реакцию с металлическим магнием: СO2 + 2Mg = 2MgO + С. Оксид кремния (IV) не растворяется в воде, взаимодействует при высоких температурах со щелочами с образованием силикатов: SiO2 + 2NaOH Na2SiO3 + H2O. взаимодействует при сплавлении с основными оксидами: SiO2 + СаО CaSiO3, реагирует с магнием: SiO2 + 2Mg => 2MgO+ Si.

Ответ на вопрос 2

Углерод — это особый химический элемент. Он основа многообразия органических соединений, из которых построены все живые организмы на нашей планете. В природе кремний — второй по распространенности после кислорода химический элемент. Земная кора более чем на четверть состоит из его соединений. Поэтому углерод называют основным элементом живой природы, а кремний — основным элементом неживой природы.

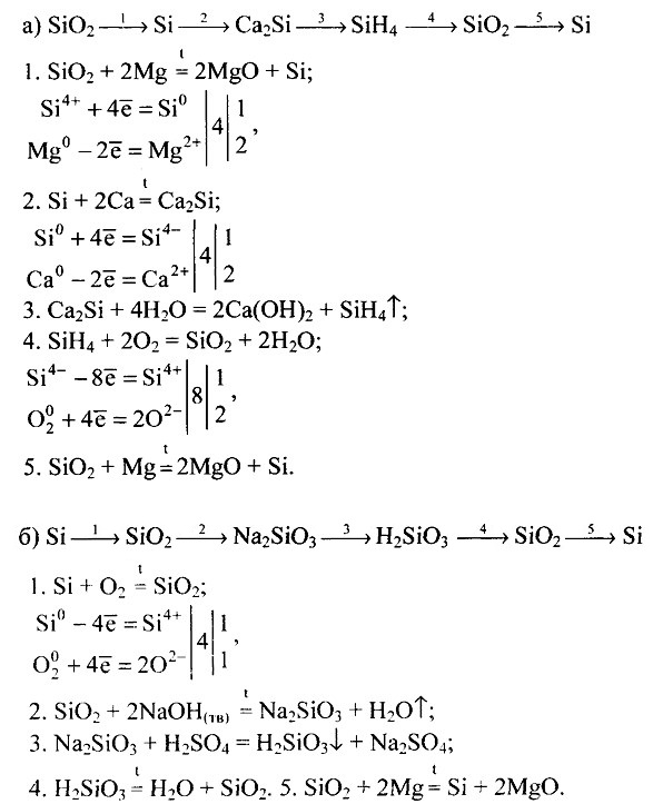
Ответ на вопрос 3

Ответ на вопрос 4

 

 

???????@Mail.ru