Главная >> Химия 9 класс. Кузнецова

Глава 1. Химические реакции и закономерности их протекания

§ 2. Скорость химической реакции

В процессе обучения химии вы неоднократно наблюдали, что реакции протекают неодинаково: одни — быстро, другие — медленно, т. е. идут с разной скоростью.

    Приведите примеры реакций, протекающих с разной скоростью.

Понятие «скорость» вам хорошо известно из курса физики. Скорость показывает изменения какой-либо величины во времени.

Действительно, разные реакции протекают по-разному. Многие реакции протекают очень быстро, например реакции обмена между растворами кислот и оснований или некоторых солей друг с другом. Мгновенно происходят реакции, которые сопровождаются взрывом, например взаимодействие водорода с фтором. Некоторые же реакции осуществляются в течение более длительного времени, иногда нескольких часов или лет. Примером таких реакций служат превращения, происходящие в горных породах под воздействием атмосферных явлений (дождя, ветра и др.). С разной скоростью протекают и биохимические процессы в организмах.

Скорость химических реакций — один из решающих параметров протекания химических процессов, осуществляемых в промышленности, в научно-производственной деятельности, так как он определяет производительность и эффективность производства. Даже в том случае, если химизм переработки сырья прост, но время, затраченное на получение продукта значительно, такой процесс не рентабелен. Как определить скорость химической реакции?

Подумаем вместе: в реакцию вступают разные вещества и в разном состоянии: твердом, жидком, газообразном. Обратимся к известным вам реакциям обмена, протекающим в растворе, например к реакции нейтрализации:

    2NaOH + H2SO4 = Na2SO4 + 2Н2О

Очевидно, что по мере протекания химической реакции исходные вещества (гидроксид натрия и серная кислота) расходуются, следовательно, с течением времени будет уменьшаться их концентрация, а концентрация образующихся веществ (сульфата натрия и воды) будет увеличиваться.

Это обусловлено тем, что в начале реакции концентрация реагентов наибольшая, а следовательно, наибольшая вероятность и соударений частиц реагирующих веществ. По мере того как исходные вещества превращаются в продукты реакции, концентрация этих веществ уменьшается. Вместе с этим уменьшается и вероятность столкновения молекул (или других частиц, например ионов).

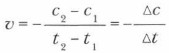
Скорость химической реакции измеряется изменением концентраций реагирующих веществ в единицу времени.

Если при постоянной температуре и объеме концентрация одного из реагирующих веществ уменьшилась от с1 до с2 за промежуток времени от t1 до t2, то в соответствии с определением скорость реакции за этот промежуток времени равна:

Для реакций, протекающих в растворах, концентрации реагентов выражаются в молях на 1 л (моль/л), а скорость реакции в молях на 1 л за 1 с (моль/л • с).

Скорость химических реакций зависит от многих факторов. Важнейшие из них:

    1) природа реагирующих веществ и степень их измельчения (для твердых веществ);
    2) концентрация реагентов;
    3) температура;
    4) катализаторы.

На реакции газообразных веществ оказывает влияние давление, так как с изменением давления изменяется их концентрация. Чем выше давление, тем меньше объем смеси газов, а следовательно, больше концентрация веществ в этом уменьшенном объеме.

Рассмотрим влияние указанных выше факторов на скорость химической реакции.

Природа реагирующих веществ (строение, внутренняя энергия, химические свойства и др.) оказывает решающее влияние на скорость реакции. Обратимся к известным уже вам галогенам. Вы знаете, что фтор реагирует с водородом уже при комнатной температуре чрезвычайно энергично, со взрывом, реакция же брома с водородом идет значительно медленнее даже при нагревании, поскольку химическое сродство водорода к фтору значительно больше, чем к брому. Это говорит о разной реакционной способности фтора и брома по отношению к водороду.

Реакционная способность веществ характеризуется их природой. Но о реакционной способности веществ — участников реакции судят по величине скорости ее протекания. Чем больше концентрация вступающих в реакцию веществ, тем чаще столкновение их молекул или других частиц во время их неупорядоченного движения в растворе или газах. Степень измельчения реагентов также влияет на скорость реакции. Твердые вещества быстрее реагируют в мелкораздробленном состоянии, и реакции с их участием протекают быстрее.

Температура также оказывает влияние на скорость химических реакций: с ее повышением скорость реакции, как правило, возрастает, так как возрастает скорость движения частиц.

Экспериментально доказано, что при повышении температуры на 10 °С скорость увеличивается в 2-4 раза (если принять, что при О °С скорость реакции = 1).

Однако при дальнейшем повышении температуры скорость реакции резко возрастает, например при увеличении температуры до 30 °С скорость некой реакции увеличивается в 8 раз, а при 100 °С скорость реакции увеличивается более чем в тысячу раз. Этим объясняется роль нагревания веществ для начала и ускорения хода реакции. Вы неоднократно убеждались в этом при наблюдении или самостоятельном проведении опытов (подогревание смеси серы с железом приводит к их бурной реакции, нагревание пробирки с цинком и с раствором соляной кислоты значительно ускоряет их реакцию и др.). Убедимся во влиянии перечисленных факторов на скорость реакции, проделав лабораторные опыты.

Опыт 1. В две пробирки нальем (не более 1/2) раствор НС1 (1 :2). Осторожно опустим в них по кусочку металлов разной природы: цинка и магния. Что наблюдаете?

Опыт 2. В две пробирки, наклонив их, опустим по кусочку одного и того же металла — цинка — и осторожно прильем растворы серной кислоты: в первую пробирку H2SO4 1 :5, а во вторую — 1 : 10. В какой из них реакция идет быстрее?

Опыт 3. В две пробирки с одинаковыми растворами соляной кислоты (1:2) добавим: в первую пробирку — гранулу цинка, а во вторую пробирку осторожно поместим цинковую пыль. Что наблюдаете?

Опыт 4. В две пробирки с одинаковым раствором серной кислоты (1 :10) добавим по грануле цинка. Одну из пробирок нагреем. Различается ли их скорость реакции? При изучении способов получения кислорода в лаборатории в 8 классе вы уже познакомились с катализаторами.

Окончание параграфа >>>

 

 

???????@Mail.ru