Главная >> Химия 9 класс. Кузнецова

Глава 5. Подгруппа азота и ее типичные представители

Азотная кислота и ее соли

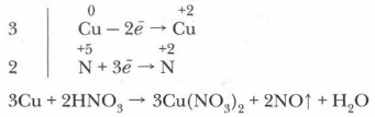
Алгоритм составления уравнений реакций металлов с азотной кислотой.

Пример взаимодействия:

1. Опираясь на таблицу взаимодействия металлов с азотной кислотой (с. 125), определите преимущественный продукт восстановления HNO3 и обозначьте степень окисления отдельных элементов в составе реагентов.

2. Определите и обозначьте степени окисления атомов отдельных элементов в составе реагентов и продуктов реакции, указав окислитель и восстановитель, процессы окисления и восстановления.

3. Составьте схему электронного баланса и определите коэффициенты для окислителя и восстановителя. Выявите соотношение молекул кислоты и атомов металла, участвующих в окислительно-восстановительном процессе.

4. Определите число молекул кислоты, нужное для солеобразования, учитывая, что все вступившие в реакцию атомы металла (в виде ионов) войдут в состав соли — нитрата этого металла.

5. Завершите расстановку коэффициентов, проверив правильность уравнения реакции.

Соли азотной кислоты

    Как называются соли азотной кислоты? Обратитесь к таблице растворимости и сделайте заключение об их отношении к воде.
    К каким электролитам относятся соли азотной кислоты?

Соли азотной кислоты — нитраты. Нитраты щелочных металлов, кальция и аммония имеют еще название селитры (например, аммиачная селитра — NH4NO3, калийная селитра — KNO3 и др.). Нитраты получаются при взаимодействии азотной кислоты с металлами, оксидами металлов, основаниями, аммиаком, а также с некоторыми солями.

    Задание. Приведите конкретные примеры получения нитратов и запишите уравнения возможных реакций.

Физические и химические свойства нитратов. Нитраты — твердые кристаллические вещества, хорошо растворимые в воде (см. таблицу растворимости).

1. Нитраты как вещества с ионной кристаллической решеткой — сильные электролиты, полностью диссоциированные в воде, например:

В водных растворах они проявляют общие свойства солей:

    Cu(NO3)2 + 2КОН = Cu(OH)2↓ + 2KNO3
    Cu2+ + 2OH- = Cu(OH)2

    Задание. Запишите полные и сокращенные ионные уравнения реакций отражающих свойства нитратов как электролитов.

2. Нитраты, подобно азотной кислоте, будучи ее производными, проявляют ряд специфических свойств как окислители. При нагревании твердые нитраты разлагаются с выделением кислорода.

Сгорание раскаленного угля в расплавленном нитрате натрия

    Демонстрационный опыт. Сгорание угля в расплавленной селитре. Закрепим в штативе пробирку, на 1/5 заполненную кристаллической натриевой селитрой. Нагреем пробирку до расплавления селитры. В расплавленную селитру бросим последовательно мелкие кусочки угля. Они сгорают со вспышкой (рис. 40):

В зависимости от характера металлов, входящих в состав нитратов, реакции их разложения протекают по-разному. Распределим соли в соответствии с положением в ряду активности входящих в их состав металлов и обозначим продукты реакции.

    Приведите примеры уравнений реакций для каждой отдельной группы нитратов, находящихся: а) левее магния; б) между магнием и медью; в) правее меди.

Качественные реакции на азотную кислоту и ее соли.

Качественная реакция на нитрат-ион (т. е. на растворы азотной кислоты и ее солей). В пробирку с исследуемым веществом добавляют медные стружки, приливают концентрированную серную кислоту и нагревают. Выделение бурого газа оксида азота (IV) NO,, свидетельствует о наличии нитрат-иона.

Качественная реакция на твердые нитраты. Щепотку соли бросают в огонь горелки. Если эта соль — нитрат, то происходит яркая вспышка вследствие ее разложения и выделения кислорода.

Применение азотной кислоты и ее солей. Азотная кислота является одним из крупнотоннажных и важных продуктов химической промышленности. Она широко применяется для производства удобрений, бездымного пороха, взрывчатых веществ (нитроглицерина, динамита и др.), лекарств, красителей, пластмасс. Нитраты также находят широкое применение. Селитра в большом количестве используется для получения некоторых оксидов металлов. Аммонийная селитра — хорошее удобрение. Кроме этого, из нее изготавливают взрывчатые смеси — аммоналы, применяемые при взрывных работах.

На легкости выделения нитратами кислорода основано их применение в пиротехнике (в том числе в фейерверках).

Основные понятия

Строение молекулы азотной кислоты • Свойства HNO3 • Особенности взаимодействия HNO3 с металлами • Правила обращения с азотной кислотой • Нитраты • Селитра • Свойства нитратов • Применение азотной кислоты и нитратов

Вопросы и задания

1. Охарактеризуйте физические свойства азотной кислоты и правила безопасного обращения с ней.

2. Охарактеризуйте свойства нитратов как представителей класса солей. Раскройте их с позиции теории электролитов.

3. Какие отличительные признаки присущи нитратам как производным азотной кислоты? Ответ подтвердите уравнениями реакций.

4. С какими из перечисленных веществ будет реагировать разбавленная азотная кислота: карбонат кальция, оксид магния, золото, оксид серы (IV), медь, гидроксид натрия? Запишите уравнения возможных реакций.

5. Напишите уравнения реакций следующих превращений:

6. В трех склянках без этикеток находятся белые кристаллические вещества: нитрат натрия, нитрат аммония и сульфат аммония. Как распознать каждое из веществ? Составьте план распознавания и запишите уравнения реакций.

7. Черный порох представляет собой смесь нитрата калия, угля и серы. Какие реакции протекают при горении пороха, если продуктами этого процесса являются сульфид калия, углекислый газ и молекулярный азот? Составьте уравнения реакций горения. Какой объем газов выделится при сгорании 169 г черного пороха?

8. Как происходит реакция между концентрированной азотной кислотой и серебром? Запишите уравнение реакции и раскройте ее суть.

9. Придумайте кроссворд, ребус или загадки по теме.

<<< К началу параграфа

 

 

???????@Mail.ru