Главная >> Химия 9 класс. Кузнецова

Глава 2. Растворы. Теория электролитической диссоциации

Ионы — переносчики электрических зарядов

Задание. Вспомните особенности строения молекул воды (полярная связь, угловое строение, дипольный характер) и рассмотрите рисунок 7, изображающий механизм растворения хлорида натрия NaCl в воде. Попробуйте объяснить механизм разрушения ионного кристалла в воде — полярном растворителе.

Механизм растворения хлорида натрия в воде

Объяснения можно свести к положениям современной теории электролитической диссоциации.

  • В узлах кристаллической решетки находятся противоположно заряженные и притягивающиеся друг к другу ионы — анионы и катионы.
  • При попадании кристалла в растворитель (воду) ионы наружных слоев оказываются окруженными полярными молекулами растворителя.
  • Диполи воды ориентируются вокруг ионов кристалла в соответствии с законом электростатического притяжения и образуют гидратиые оболочки ионов.
  • Окруженные гидратными оболочками ионы переходят в раствор, что приводит к разрушению кристаллической решетки, твердое вещество растворяется.

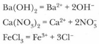
Приведем примеры записи сущности процессов электролитической диссоциации электролитов с ионной связью:

Такие уравнения называются уравнениями электролитической диссоциации.

Ионы (анионы и катионы), окруженные оболочками из молекул воды, называются гидратированными и обозначаются aq — двумя первыми буквами латинского названия воды — aqua. Процесс образования таких ионов называется гидратацией. Этот процесс всегда сопровождает растворение в воде ионных соединений. Однако указание на то, что образуются гидратированные ионы, при записи уравнений электролитической диссоциации нередко опускается. Например:

Коэффициенты в таких уравнениях указывают на число ионов, а цифры со знаком «+» или «-» обозначают заряды ионов. Заряды ионов можно установить по таблице растворимости.

Если вместо воды используются иные растворители (аммиак, этиловый спирт, серная кислота и т. п.), то процесс образования вокруг ионов оболочек молекул растворителя называется сольватацией, а ионы, окруженные оболочками, — сольватированными.

Основные понятия

Электролиты • Неэлектролиты • Электролитическая диссоциация • Гидратация • Гидратированные ионы • Сольватация

Вопросы и задания

1. Опишите механизм растворения в воде бромида калия КВr.

2. Если взять ряд веществ: NaOH, BaSO4, КСl, Са(ОН)2, AgBr, поместить их в химические стаканы, добавить воду, размешать, после чего в каждый стакан поочередно опустить электроды прибора для проверки электропроводности, то в каких случаях лампочка не загорится? Почему?

3. Определите, на какие ионы распадаются следующие соединения: CuCl2, KMnO4, NaBr, Са(ОН)2, Fe(NO3)3, Na3PO4, Al2(SO4)3, AgNO3, ZnSO4, AlCl3, Mg(NO3)2.

4. Составьте уравнения электролитической диссоциации веществ, формулы которых приведены в предыдущем задании.

5. Напишите формулы веществ, которые при растворении в воде образуют следующие ионы: а) К+ и б) Сr3+ и в) Fe2+ и Сl-.

6. Составьте перечень анионов и катионов, присутствующих в морской воде. Известны ли вам примеры получения из морской воды каких-либо простых или сложных веществ?

<<< К началу параграфа

 

 

???????@Mail.ru