Главная >> Химия 9 класс. Кузнецова

Глава 9. Металлы главных и побочных подгрупп

Характеристика s-элементов IA-группы периодической системы и образуемых ими простых веществ

Химические свойства щелочных металлов.

Систематизируем сведения о химических реакциях, характерных для щелочных металлов.

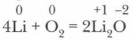
1. В случае взаимодействия щелочных металлов с кислородом различны не только условия и признаки протекания реакций, но и характер образующихся продуктов. Литий, натрий и калий интенсивно окисляются на воздухе и в кислороде (без возгорания), рубидий и цезий на воздухе самовозгораются (поэтому их хранят в вакууме в запаянных ампулах).

При окислении лития образуется оксид:

При взаимодействии натрия с кислородом образуется пероксид:

Пероксиды щелочных металлов — очень сильные окислители. Они бурно реагируют с водой, причем реакция сопровождается выделением кислорода.

2. Все щелочные металлы активно взаимодействуют с водой:

Но и в этом случае они ведут себя по-разному: литий и натрий реагируют с водой интенсивно, но не воспламеняются в процессе реакции. Калий загорается при взаимодействии с водой (рис. 76). Возгорание калия происходит через несколько секунд после начала реакции: образующийся водород, окрашенный парами калия, сгорает красивым фиолетовым пламенем. Взаимодействие с водой рубидия и цезия сопровождается взрывом. Эти металлы способны вступать в реакцию с водой даже при низких температурах! (Цезий реагирует со льдом при температуре -116 °С.)

3. Так же легко щелочные металлы вступают в реакции с галогенами: в атмосфере фтора и хлора калий, рубидий и цезий воспламеняются, с бромом реагируют с сильным взрывом.

4. При нагревании щелочные металлы взаимодействуют с серой, водородом, с другими металлами часто образуют интерметаллические соединения.

Реакции с кислотами-окислителями протекают очень бурно, иногда со взрывом. Например, в случае взаимодействия натрия с концентрированной серной кислотой образуются сероводород, соль и вода (рис. 77):

    8Na + 5H2SO4(конц.) = 4Na2SO4 + H2S↑ + 4H2O

Взаимодействие калия с водой

    С какой целью к стенке стакана (рис. 77) прикреплены полоски бумаги, смоченные растворами Pb(NO3)2 и Cd(NO3)2?

Выводы

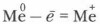
1. Все химические реакции щелочных металлов являются окислительно-восстановительными. Металлы выполняют в них функцию восстановителей:

2. В группе с увеличением порядкового номера элемента усиливаются металлические свойства:

Применение щелочных металлов и их соединений. Соединения щелочных металлов применяются с глубокой древности. Щелочные растворы, изготавливавшиеся из золы растений в странах Древнего мира (Египте, Финикии), использовали в качестве моющих средств и для получения прозрачных глазурей на поверхности керамических изделий.

Области применения щелочных металлов обусловлены их физико-химическими свойствами и весьма разнообразны. Например, литий и натрий легко взаимодействуют с кислородом воздуха и другими газообразными веществами. Поэтому их используют для удаления пузырьков газа из сплавов металлов.

Многие сплавы щелочных металлов обладают уникальными свойствами. Например, сплав свинца, натрия, лития и кальция способен сжиматься на 28%, сохраняя при этом твердость и не растрескиваясь. Его применяют для изготовления осевых подшипников для железнодорожного транспорта, поскольку они работают в условиях постоянных и резко сменяющихся нагрузок.

Большая химическая активность цезия по отношению к веществам, образующим воздух, используется для изготовления радиоламп. Для создания вакуума в колбу лампы вносят мельчайший кусочек цезия, который мгновенно поглощает те остатки воздуха, которые нельзя откачать насосом.

Одним из наиболее замечательных свойств рубидия и цезия является чувствительность к свету. При освещении поверхности металла он становится источником электрического тока (возникает поток электронов), при прекращении освещения ток прекращается. Приборы, в которых световая энергия превращается в электрическую, называются фотоэлементами. Они широко используются в звуковом кино, телевидении. Лучшие фотоэлементы делают из сплава сурьмы и цезия.

Одно из основных применений калия — использование его супероксида для регенерации кислорода в подводных лодках:

    Na2O2 + К2O4 + 2СO2 = Na2CO2 + К2СО2 + 2O2

Едкие щелочи применяются для изготовления мыла, бумаги, электролитов для аккумуляторов, в очистке нефтепродуктов, в производстве искусственных волокон, в синтезе многочисленных органических и неорганических веществ.

Соединения всех щелочных металлов применяются в медицине. Например, соли лития способны растворять отложения мочевой кислоты, поэтому их применяют для лечения подагры. На основе бромидов и иодидов рубидия созданы болеутоляющие и успокаивающие средства. Примечательно, что существуют проекты относительно использования в медицине даже франция! Установлено, что он избирательно накапливается в раковых опухолях на ранних стадиях их развития. Это свойство могло бы послужить для ранней диагностики заболевания.

Создаются удивительные проекты новых областей применения и для вполне привычных веществ, например каменной соли (галита). Кристаллы каменной соли непроницаемы для жидких и газообразных веществ. Это служит основанием для предложения о создании в залежах галита огромных емкостей для хранения нефти и газа.

Основные понятия

s-Элементы • Щелочные металлы: структура атомов, вид кристаллической решетки • Оксид • Пероксид • Супероксид

Вопросы и задания

1. Охарактеризуйте физические свойства лития.

2. На конкретных примерах раскройте взаимосвязь между строением и свойствами щелочных металлов.

3. Франций не был получен в количествах, достаточных для его подробного изучения. Однако опытным путем подтверждены некоторые предсказания относительно его свойств. На основании чего были сделаны предсказания?

4. Литий является единственным веществом, при нормальных условиях реагирующим с азотом. Составьте формулы веществ, образующих поверхностные пленки на щелочных металлах.

5. Осуществите превращения и укажите условия протекания химических реакций:

6. Учитывая закономерное изменение радиусов ионов щелочных металлов, попытайтесь схематически представить, сколько ион-атомов каждого металла поместится в произвольно выбранной вами единице объема. Как изменения физических свойств щелочных металлов объяснить особенностями их строения? Полученные выводы оформите в виде схемы (схема 6).

Раскройте взаимосвязи между свойствами и областями применения веществ на примере щелочных металлов. Ответ оформите в виде схемы.

<<< К началу параграфа

 

 

???????@Mail.ru