Главная >> Химия 9 класс. Кузнецова

Глава 2. Растворы. Теория электролитической диссоциации

§ 8. Реакции электролитов в водных растворах и их уравнения

    Какие типы реакций вам известны?

    Сформулируйте определение реакций обмена. Приведите примеры.

В свете представлений теории электролитической диссоциации реакции в водных растворах протекают между частицами (ионами или молекулами), реально присутствующими в растворе. Реакции между ионами называются ионными, а описывающие их уравнения — ионными уравнениями. При составлении последних необходимо учитывать, что нерастворимые, малорастворимые (выпадающие в осадок) (см. таблицу растворимости), слабодиссоцииро- ванные вещества (например, вода) мало диссоциируют в растворах на ионы и не могут изображаться в виде ионов.

Рассмотрим последовательность действий при составлении ионных уравнений на конкретном примере взаимодействия нитрата свинца и иодида калия.

Алгоритм составления ионных уравнений

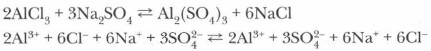
Рассмотрим еще один пример — взаимодействие растворов хлорида алюминия и сульфата натрия:

Если выпарить образовавшийся в результате реакции раствор, то получим смесь четырех солей: сульфата натрия, хлорида алюминия, хлорида натрия и сульфата алюминия. Однако с точки зрения теории электролитической диссоциации в данном случае реакция не происходит, так как образующиеся продукты растворимы и в растворе существуют в виде ионов.

Реакции электролитов в растворах делятся на две большие группы: окислительно-восстановительные и обменные, или реакции ионного обмена. В первой группе реакций происходит изменение степеней окисления атомов элементов. Например:

В группе реакций ионного обмена степени окисления атомов остаются неизменными.

Окончание параграфа >>>

 

 

???????@Mail.ru