Главная >> Астрономия 11 класс. Воронцов-Вельяминов

§ 13. Определение расстояний и размеров тел в Солнечной системе

Определение расстояний в Солнечной системе. Горизонтальный параллакс

Измерить расстояние от Земли до Солнца удалось лишь во второй половине XVIII в., когда был впервые определён горизонтальный параллакс Солнца. По сути дела, при этом измеряется параллактическое смещение объекта, находящегося за пределами Земли, а базисом является её радиус.

    Горизонтальным параллаксом (р) называется угол, под которым со светила виден радиус Земли, перпендикулярный лучу зрения (рис. 3.11).

Горизонтальный параллакс светила

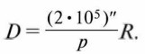
Из треугольника OAS можно выразить величину — расстояние OS = D:

    расстояние

где R — радиус Земли. По этой формуле можно вычислить расстояние в радиусах Земли, а зная его величину, — выразить расстояние в километрах.

Очевидно, что чем дальше расположен объект, тем меньше его параллакс. Наибольшее значение имеет параллакс Луны, который меняется в связи с тем, что Луна обращается по эллиптической орбите, и в среднем составляет 57'. Параллаксы планет и Солнца значительно меньше. Так, параллакс Солнца равен 8,8". Такому значению параллакса соответствует расстояние до Солнца, примерно равное 150 млн км. Это расстояние принимается за одну астрономическую единицу (1 а. е.) и используется при измерении расстояний между телами Солнечной системы.

Известно, что для малых углов sin р ≈ р, если угол р выражен в радианах. В одном радиане содержится 206 265". Тогда, заменяя sin р на р и выражая этот угол в радианной мере, получаем формулу в виде, удобном для вычислений:

или (с достаточной точностью)

Во второй половине XX в. развитие радиотехники позволило определять расстояния до тел Солнечной системы посредством радиолокации. Первым объектом среди них стала Луна. Затем радиолокационными методами были уточнены расстояния до Венеры, Меркурия, Марса и Юпитера. На основе радиолокации Венеры величина астрономической единицы определена с точностью порядка километра. Столь высокая точность определения расстояний — необходимое условие для расчётов траекторий полёта космических аппаратов, изучающих планеты и другие тела Солнечной системы. В настоящее время благодаря использованию лазеров стало возможным провести оптическую локацию Луны. При этом расстояния до лунной поверхности измеряются с точностью до сантиметров.

Пример решения задачи

На каком расстоянии от Земли находится Сатурн, когда его горизонтальный параллакс равен 0,9"?

 

 

???????@Mail.ru