Главная >> Астрономия 11 класс. Воронцов-Вельяминов

§ 2. Наблюдения — основа астрономии

2. Телескопы

Основным прибором, который используется в астрономии для наблюдения небесных тел, приёма и анализа приходящего от них излучения, является телескоп. Слово это происходит от двух греческих слов: tele — далеко и skopéo — смотрю.

Телескоп применяют, во-первых, для того, чтобы собрать как можно больше света, идущего от исследуемого объекта, а во-вторых, чтобы обеспечить возможность изучать его мелкие детали, недоступные невооружённому глазу. Чем более слабые объекты даёт возможность увидеть телескоп, тем больше его проницающая сила. Возможность различать мелкие детали характеризует разрешающую способность телескопа. Обе эти характеристики телескопа зависят от диаметра его объектива.

Количество света, собираемого объективом, возрастает пропорционально его площади (квадрату диаметра) (рис. 1.4). Диаметр зрачка человеческого глаза даже в полной темноте не превышает 8 мм. Объектив телескопа может превышать по диаметру зрачок глаза в десятки и сотни раз. С помощью телескопов и современных приёмников излучения возможно обнаружить звёзды и другие объекты, которые в 100 млн раз слабее объектов, видимых невооружённым глазом.

Собирание света объективом телескопа

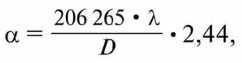
Чем меньше размер изображения светящейся точки (звезды), которое даёт объектив телескопа, тем лучше его разрешающая способность. Если расстояние между изображениями двух звёзд меньше размера самого изображения, то они сливаются в одно. Вследствие дифракции изображение звезды будет не точкой, а ярким пятном — дифракционным диском, угловой диаметр которого равен

    угловой диаметр

где λ — длина световой волны, a D — диаметр объектива телескопа, 206 265 — число секунд в радиане. У школьного телескопа, диаметр объектива которого составляет 60 мм, теоретическая разрешающая способность будет равна примерно 2". Напомним, что это превышает разрешающую способность невооружённого глаза (в среднем) в 60 раз. Реальная разрешающая способность телескопа будет меньше, поскольку на качество изображения существенно влияет состояние атмосферы, движение воздуха.

Если в качестве объектива телескопа используется линза, то такой телескоп называется рефрактором (от лат. refracto — преломляю), а если вогнутое зеркало, — то рефлектор (reflecto — отражаю).

Помимо рефракторов и рефлекторов в настоящее время используются различные типы зеркально-линзовых телескопов, один из которых — менисковый — представлен на рисунке 1.5.

    Менисковый телескоп

У небольших телескопов объективом, как правило, служит двояковыпуклая собирающая линза. Как известно, если предмет находится дальше двойного фокусного расстояния, она даёт его уменьшенное, перевёрнутое и действительное изображение. Это изображение располагается между точками фокуса и двойного фокуса линзы. Расстояния до Луны, планет, а тем более звёзд так велики, что лучи, приходящие от них, можно считать параллельными. Следовательно, изображение объекта будет располагаться в фокальной плоскости.

Построим изображение Луны, которое даёт объектив 1 с фокусным расстоянием F (рис. 1.6). Объектив строит изображение объекта, линейные размеры которого определяются фокусным расстоянием F и угловыми размерами а объекта на небе. Воспользуемся теперь ещё одной линзой — окуляром 2, поместив её от изображения Луны (точка F1) на расстоянии, равном фокусному расстоянию этой линзы — ƒ. Фокусное расстояние окуляра должно быть меньше, чем фокусное расстояние объектива. Построив изображение, которое даёт окуляр, мы убедимся, что он увеличивает угловые размеры Луны: угол β заметно больше угла α.

    Построение изображения в телескопе

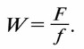
Если изображение, даваемое объективом, находится вблизи фокальной плоскости окуляра, увеличение, которое обеспечивает телескоп, равно отношению фокусного расстояния объектива к фокусному расстоянию окуляра:

    увеличение телескопа

Телескоп увеличивает видимые угловые размеры Солнца, Луны, планет и деталей на них, но звёзды из-за их колоссальной удалённости всё равно видны в телескоп как светящиеся точки.

Имея сменные окуляры, можно с одним и тем же объективом получать различное увеличение. Поэтому возможности телескопа в астрономии принято характеризовать не увеличением, а диаметром его объектива. При визуальных астрономических наблюдениях обычно используют увеличения не более 100 раз. Применять большие увеличения мешает атмосфера Земли. Движение воздуха, незаметное невооружённым глазом (или при малых увеличениях), приводит к тому, что мелкие детали изображения становятся нерезкими, размытыми. Это мешает и современным наблюдениям с фотоэлектронными приёмниками света. Поэтому астрономические обсерватории, на которых используются крупные телескопы, размещаются в районах с хорошим астроклиматом: большим количеством ясных дней и ночей, с высокой прозрачностью и стабильностью атмосферы, на высоте нескольких километров над уровнем моря.

Современный телескоп представляет собой сложное устройство, которое имеет предельно точную оптику малых и больших размеров, наилучшие из существующих приёмники излучения и обширный комплекс научной и обслуживающей аппаратуры. Все наиболее крупные современные телескопы — это телескопы-рефлекторы.

Крупнейший в России телескоп-рефлектор (рис. 1.7) имеет зеркало диаметром 6 м, отшлифованное с точностью до долей микрометра. Фокусное расстояние зеркала 24 м. Его масса около 40 т. Масса всей установки телескопа более 850 т, а высота 42 м. Управление телескопом осуществляется с помощью компьютера, который позволяет точно навести телескоп на изучаемый объект и длительное время удерживать его в поле зрения, плавно поворачивая телескоп вслед за вращением Земли. Телескоп входит в состав Специальной астрофизической обсерватории Российской академии наук и установлен на Северном Кавказе (близ станицы Зеленчуке кая в Кабардино-Балкарии) на высоте 2100 м над уровнем моря.

    Шестиметровый телескоп-рефлектор

Окончание >>>

 

 

???????@Mail.ru