Главная >> Астрономия 11 класс. Воронцов-Вельяминов

§ 23. Массы и размеры звёзд

1. Двойные звёзды. Определение массы звёзд

Среди звёзд, которые видны на небе рядом, различают оптические двойные и физические двойные звёзды. В первом случае такие две звезды хотя и видны вблизи, но находятся в пространстве далеко друг от друга. Если же в результате наблюдений выясняется, что они образуют единую систему и обращаются вокруг общего центра масс под действием взаимного тяготения, то они называются физическими двойными звёздами.

Первым, кто доказал, что такие звёзды действительно существуют, был известный английский астроном Вильям Гершель (1738—1822). Множество двойных звёзд открыл и исследовал В. Я. Струве. В настоящее время известно уже более 70 тыс. этих объектов. Когда число звёзд в системе, связанной взаимным тяготением, оказывается более двух, то их называют кратными. В настоящее время считается, что большинство звёзд (более 70%) образуют системы большей или меньшей кратности. В зависимости от того, каким способом можно обнаружить двойственность звезды, их называют по-разному. Если она заметна при непосредственных наблюдениях в телескоп, то это визуально-двойная звезда. Если же об этом можно судить только по спектру, то это спектрально-двойная звезда.

Редким примером двойной звезды, оба компонента которой различимы даже невооружённым глазом, являются Мицар и Алькор в созвездии Большой Медведицы. Среди ярчайших звёзд также были обнаружены двойные: Сириус, Капелла, Кастор и др. Более того, оказалось, что во многих случаях каждая из звёзд такой пары сама состоит из нескольких звёзд. Так, Мицар и Капелла имеют в своём составе четыре компонента, а Кастор — шесть. Выяснилось, что а Центавра является тройной звездой, одна из которых расположена ближе всего к нам и получила название Проксима (в переводе с греческого «ближайшая»).

У двойных звезд, каждый компонент которых можно наблюдать в отдельности, периоды обращения вокруг общего центра масс обычно бывают от нескольких лет до нескольких сотен или даже тысяч лет. Их орбиты сравнимы по размерам с орбитами планет-гигантов. Большинство спектрально-двойных звёзд имеют периоды обращения порядка нескольких суток, располагаясь друг от друга на расстоянии 5—7 млн км. Самый короткий из известных периодов составляет всего 2,6 ч.

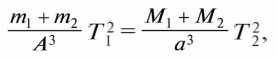
Несмотря на многочисленность двойных звёзд, достаточно надёжно определены орбиты лишь примерно для сотни из них. При известном расстоянии до этих систем использование третьего закона Кеплера позволяет определить их массу. Сравнивая движение спутника звезды с движением Земли вокруг Солнца, можно написать:

где m1 и m2 — массы компонентов звёздной пары; М1 и М2 — массы Солнца и Земли; Т1 — период обращения звёзд; Т2 — период обращения Земли; А — большая полуось орбиты двойной звезды; а — большая полуось земной орбиты. Выражая период обращения в двойной системе Т в годах (периодах обращения Земли), большую полуось орбиты в а. е. (расстояниях между Солнцем и Землёй), получаем суммарную массу системы в массах Солнца:

Чтобы определить массу каждой звезды, надо изучить движение каждой из них и вычислить их расстояния А1 и А2 (А = А1 + А2) от общего центра масс. Тогда мы получим второе уравнение:

    m1 : m2 = А2: А1.

Решая систему двух уравнений, можно вычислить массу каждой звезды.

У спектрально-двойных звёзд наблюдается смещение (или раздвоение) линий в спектре, которое происходит вследствие эффекта Доплера1. Оно меняется с периодом, равным периоду обращения пары. Если яркости и спектры звёзд, составляющих пару, сходны, то в спектре наблюдается периодическое раздвоение линий (рис. 5.16, а). Пусть компоненты A и В занимают положения A2 или В2, когда один движется по направлению к наблюдателю, а другой — от него. Спектральные линии приближающейся звезды сместятся к фиолетовому концу спектра, а удаляющейся — к красному. Линии в спектре будут раздвоены. В положениях A1, и В1 оба компонента движутся перпендикулярно лучу зрения, и раздвоения линий не наблюдается. Если одна из звёзд настолько слаба, что её линии не видны, то будет наблюдаться периодическое смещение линий более яркой звезды (рис. 5.16, б).

    1 Напомним, что, согласно этому эффекту, при увеличении расстояния между звездой и наблюдателем длина волны принимаемого излучения увеличивается, поэтому спектральные линии смещаются к красному концу спектра. При уменьшении расстояния длина волны уменьшается, а линии смещаются к фиолетовому концу спектра.

Раздвоение линий в спектре двойной звезды

Окончание >>>

 

 

???????@Mail.ru