Главная >> Геометрия 7—9 классы. Атанасян

§ 1. Определение подобных треугольников

Пропорциональные отрезки

Вокруг нас немало предметов, которые имеют одинаковую D форму, но разные размеры. Самый простой пример — большой и маленький мячи. В геометрии фигуры одинаковой формы называются подобными. Данная глава посвящена изучению подобных треугольников и признаков их подобия. Эти признаки широко используются в геометрии, в частности с их помощью будет доказано утверждение, сформулированное ещё при изучении геометрии в 7 классе: медианы треугольника пересекаются в одной точке. Кроме того, будет рассказано об использовании свойств подобных треугольников при проведении измерительных работ на местности.


Отношением отрезков АВ и CD называется отношение их длин, т. е.

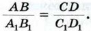
Говорят, что отрезки АВ и CD пропорциинальны отрезкам А1В1 и C1D1, если

Например, отрезки АВ и CD, длины которых равны 2 см и 1 см, пропорциональны отрезкам А1В1 и C1D1, длины которых равны 3 см и 1,5 см. В самом деле,

Понятие пропорциональности вводится и для большего числа отрезков. Так, например, три отрезка АВ, CD и EF пропорциональны трём отрезкам А1В1 С1D1, и E1F1, если справедливо равенство

 

 

???????@Mail.ru