Главная >> Геометрия 7—9 классы. Атанасян

§ 2. Признаки подобия треугольников

Задачи к § 2. Признаки подобия треугольников

550. По данным рисунка 193 найдите х и у.

    рис. 193

551. На стороне CD параллелограмма ABCD отмечена точка Е. Прямые АЕ и ВС пересекаются в точке F. Найдите: a) EF и FC, если DE = 8 см, ЕС = 4 см, ВС= 7 см, А? = 10см; б) DE и ЕС, если АВ = 8 см, AD- 5 см, CF = 2 см.

552. Диагонали трапеции ABCD с основаниями АВ и CD пересекаются в точке О. Найдите: а) АВ, если ОВ = 4 см, ОЕ=10см, DС = 25 см; если АВ = а, DC = b; в) АО, если АВ = 9,6 дм, DC = 24 см, АС = 15 см.

553. Подобны ли равнобедренные треугольники, если они имеют: а) по равному острому углу; б) по равному тупому углу; в) по прямому углу? Ответ обоснуйте.

554. Основания трапеции равны 5 см и 8 см. Боковые стороны, равные 3,6 см и 3,9 см, продолжены до пересечения в точке М. Найдите расстояния от точки М до концов меньшего основания.

555. Точки М, N и Р лежат соответственно на сторонах АВ, ВС и С А треугольника АВС, причём MN || АС, NP || АВ. Найдите стороны четырёхугольника AMNP, если: а) АВ = 10 см, АС = 15 см, PN : MN = 2 : 3; б) АМ = АР, АВ = а, АС = b.

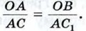
556. Стороны угла О пересечены параллельными прямыми АВ и CD. Докажите, что отрезки О А и АС пропорциональны отрезкам ОВ и BD (рис. 194).

    рис. 194

Решение

Проведём через точку А прямую АС,, параллельную прямой BD (С, — точка пересечения этой прямой с прямой CD). Тогда по первому признаку подобия треугольников (∠O = ∠CAC1, ∠OAB = ∠C), следовательно, Так как АС1 = BD (объясните почему), то что и требовалось доказать.

557. Стороны угла А пересечены параллельными прямыми ВС и DE, причём точки В и D лежат на одной стороне угла, а С и Е — на другой. Найдите: а) АС, если СЕ = 10 см, АD = 22 см, BD = 8 см; б) BD и DE, если АВ = 10 см, АС = 8 см, BС = 4 см, СЕ = 4 см; в) ВС, если АВ : BD = 2 : 1 и DE = 12 см.

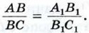
558. Прямые а и b пересечены параллельными прямыми АА1, ВВ1, СС1, причём точки А, В и С лежат на прямой а, а точки А1, В1 и С1 — на прямой b. Докажите, что

Окончание >>>

 

 

???????@Mail.ru