Главная >> Геометрия 7—9 классы. Атанасян

Глава VIII. Окружность

Ответы к дополнительным задачам к главе VIII. Окружность

730. Через точки А и В проведены прямые, перпендикулярные к сторонам угла АОВ и пересекающиеся в точке С внутри угла. Докажите, что около четырёхугольника АСВО можно описать окружность.

731. Докажите, что около выпуклого четырёхугольника, образованного при пересечении биссектрис углов трапеции, можно описать окружность.

732. В прямоугольном треугольнике АВС из точки М стороны АС проведён перпендикуляр МН к гипотенузе АВ. Докажите, что углы МНС и МВС равны.

733. й Найдите радиус вписанной в равносторонний треугольник окружности, если радиус описанной окружности равен 10 см.

734. Докажите, что если в параллелограмм можно вписать окружность и можно описать около него окружность, то этот параллелограмм — квадрат.

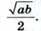
735. В трапецию с основаниями а и b можно вписать окружность и около этой трапеции можно описать окружность. Найдите радиус вписанной окружности.

736. Даны прямая а, точка А, лежащая на этой прямой, и точка В, не лежащая на ней. Постройте окружность, проходящую через точку В и касающуюся прямой а в точке А.

737. Даны две параллельные прямые и точка, не лежащая ни на одной из них. Постройте окружность, проходящую через данную точку и касающуюся данных прямых.

Ответы к дополнительным задачам к главе VIII

    712. Указание. Воспользоваться задачей 664.

    713. Указание. Учесть, что ВМ = МХ и CN = NX.

    714. Указание. Пусть К — точка пересечения общей касательной, проходящей через точку М, и прямой АВ. Сначала доказать, что КА = КМ = КВ.

    720. Нет.

    722.

    725.

    726. Указание. Использовать серединный перпендикуляр к той стороне, к которой проведена медиана.

    728. Указание. Воспользоваться свойством углов вписанного четырёхугольника.

    730. Указание. Воспользоваться задачей 729.

    731. Указание. Воспользоваться задачей 729.

    732. Указание. Сначала доказать, что около четырёхугольника МНВС можно описать окружность.

    733. 5см.

    734. Указание. Воспользоваться задачами 709 и 721.

    735.

    736. Указание. Использовать серединный перпендикуляр к отрезку АВ.

    737. Указание. Воспользоваться задачей 281.

<<< К началу

 

 

???????@Mail.ru