Главная >> Геометрия 7—9 классы. Атанасян

§ 2. Сложение и вычитание векторов

Законы сложения векторов. Правило параллелограмма

Теорема

Для любых векторов справедливы равенства:

10. (переместительный закон).

20. (сочетательный закон).

Доказательство

10. Рассмотрим случай, когда векторы и не коллинеарны (случай коллинеарных векторов и рассмотрите самостоятельно). От произвольной точки А отложим векторы и и на этих векторах построим параллелограмм ABCD, как показано на рисунке 252. По правилу треугольника Аналогично Отсюда следует, что

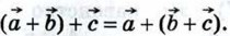
20. От произвольной точки А отложим вектор от точки В — вектор а от точки С — вектор (рис. 253). Применяя правило треугольника, получим:

Отсюда следует, что Теорема доказана.

При доказательстве утверждения 10 мы обосновали так называемое правило параллелограмма сложения неколлинеарных векторов: чтобы сложить неколлинеарные векторы и , нужно отложить от какой-нибудь точки А векторы и построить параллелограмм ABCD (см. рис. 252). Тогда вектор равен Правило параллелограмма часто используется в физике, например при сложении двух сил.

 

 

???????@Mail.ru