Главная >> Геометрия 7—9 классы. Атанасян

§ 2. Сложение и вычитание векторов

Задачи к § 2. Сложение и вычитание векторов

759. Дан произвольный четырёхугольник MNPQ. Докажите, что:

760. Докажите, что для любых двух неколлинеарных векторов и справедливо неравенство

761. Докажите, что если А, В, С, и D — произвольные точки, то

762. Сторона равностороннего треугольника АВС равна а. Найдите:

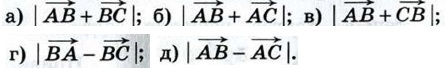
763. В треугольнике АВС АВ = 6, ВС = 8, ∠B = 90°. Найдите:

764. Пользуясь правилом многоугольника, упростите выражение:

765. Пусть X, Y и Z — произвольные точки. Докажите, что векторы нулевые.

766. На рисунке 259 изображены векторы , , Представьте вектор в виде суммы остальных или им противоположных векторов.

767. Дан треугольник АВС. Выразите через векторы следующие векторы:

Решение

а) Векторы противоположные, поэтому или

б) По правилу треугольника Но поэтому

768. Точки М и N — середины сторон АВ и АС треугольника АВС. Выразите векторы через векторы

Окончание >>>

 

 

???????@Mail.ru