Главная >> Геометрия 7—9 классы. Атанасян

§ 3. Умножение вектора на число. Применение векторов к решению задач

Задачи к § 3. Умножение вектора на число

779. Дан вектор Как направлен каждый из векторов по отношению к вектору Выразите длины этих векторов через

780. Докажите, что для любого вектора справедливы равенства:

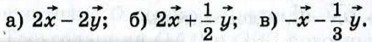
780. Пусть Выразите через векторы:

781. В параллелограмме ABCD точка Е — середина стороны AD, точка G — середина стороны ВС. Выразите векторы через векторы

782. Точка М лежит на стороне ВС параллелограмма ABCD, причём ВМ : МС = 3 : 1. Выразите векторы через векторы

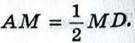
783. В параллелограмме ABCD диагонали пересекаются в точке О, а М — такая точка на стороне AD, что Выразите через векторы следующие векторы:

784. Точки М и N — середины диагоналей АС и BD четырёхугольника ABCD. Докажите, что

786. Отрезки АА1, ВВ1 и СС1 — медианы треугольника АВС. Выразите векторы через векторы

787. Точка О — середина медианы EG треугольника DEF. Выразите вектор через векторы

Применение векторов к решению задач

788. Дан произвольный треугольник АВС. Докажите, что существует треугольник, стороны которого соответственно параллельны и равны медианам треугольника АВС.

Решение

Пусть АА1, ВВ1, СС1 — медианы треугольника АВС. Тогда (см. задачу 1, п. 87). Сложив эти равенства, получим

Отсюда следует, что если мы построим сумму векторов по правилу многоугольника (п. 84), то получим треугольник, удовлетворяющий условиям задачи (треугольник MNP на рисунке 267).

    рис. 267

789. На сторонах треугольника АВС построены параллелограммы АВВ1А2, ВСС1В2, АСС2А1. Докажите, что существует треугольник, стороны которого соответственно параллельны и равны отрезкам А1А2, В1В2 и С1С2.

790. Докажите, что отрезок, соединяющий середины диагоналей трапеции, параллелен её основаниям и равен полуразности оснований.

791. Докажите, что отрезки, соединяющие середины противоположных сторон произвольного четырёхугольника, точкой пересечения делятся пополам.

792. Докажите теорему о средней линии треугольника (п. 64).

Окончание >>>

 

 

???????@Mail.ru