Главная >> Геометрия 7—9 классы. Атанасян

IX. Векторы

Дополнительные задачи к главе IX. Векторы

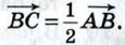
800. Докажите, что если векторы сонаправлены, то а если противоположно направлены, причём то

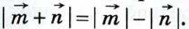
801. Докажите, что для любых векторов справедливы неравенства

802. На стороне ВС треугольника АВС отмечена точка N так, что BN = 2NC. Выразите вектор через векторы

803. На сторонах MN и NP треугольника MNP отмечены соответственно точки X и Y так, что Выразите векторы через векторы

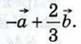
804. Основание AD трапеции ABCD в три раза больше основания ВС. На стороне AD отмечена такая точка К, что Выразите векторы через векторы

805. Три точки А, В и С расположены так, что Докажите, что для любой точки О справедливо равенство

806. Точка С делит отрезок АВ в отношении m : n, считая от точки А. Докажите, что для любой точки О справедливо равенство

807. Отрезки АА1, ВВ1 и СС1 — медианы треугольника АВС, О — произвольная точка. Докажите, что

808.* Точки А и С — середины противоположных сторон произвольного четырёхугольника, а точки В и D — середины двух других его сторон. Докажите, что для любой точки О верно равенство

809. Один из углов прямоугольной трапеции равен 120°. Найдите её среднюю линию, если меньшая диагональ и большая боковая сторона трапеции равны а.

810. Докажите, что вершина угла, образованного биссектрисами двух углов трапеции, прилежащих к боковой стороне, лежит на прямой, содержащей среднюю линию трапеции.

Ответы к дополнительным задачам главы IX

    801. Указание. Если векторы не коллинеарны, то воспользоваться правилом треугольника сложения векторов, и если они коллинеарны — задачей 800.

    802.

    803.

    804.

    809.

    810. Указание. Воспользоваться теоремой п. 74.

 

 

???????@Mail.ru