Главная >> Геометрия 7—9 классы. Атанасян

§ 1. Координаты вектора

Задачи к § 1. Координаты вектора (окончание)

922. Найдите координаты вектора если:

923. Найдите координаты вектора если:

924. Найдите координаты векторов если {3; 2}.

925. Даны векторы Найдите координаты векторов, противоположных данным.

926. Найдите координаты вектора если:

927. Докажите, что если два вектора коллинеарны, то координаты одного вектора пропорциональны координатам другого. Сформулируйте и докажите обратное утверждение.

928. Даны векторы Укажите среди этих векторов попарно коллинеарные векторы.

Ответы к задачам § 1. Координаты вектора

911. а) -4; б) 20; в) -1; г) 5.

912. г) 1; д) -1; ж) 3; и) число k не существует.

913. а) Да; б) да.

914. Указание. Доказательство провести методом от противного и воспользоваться леммой о коллинеарных векторах.

915.

916. а) х = -1, у = 3; б) х = 4, у = -5; в) х = 0, у = 3; г) x = -1,

918.

919.

920.

921. а) х=5, у = -2; б) x = -3, у = 7; в) д: = -4, у = 0; г) х = 0, у = 0.

922. а) {5; 7}; б) {4; 1}; в) {1; 1}; г){-1;0).

923. {3; 2}; б) {6; 0}; в) {-1; 9}; г) {-7;-2}.

924.

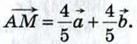
925. {-2; -4}, {2; 0}, {0; 0}, {2; 3}, {-2; 3}, {0; -5}.

926. а) {21; -21}; б) {13; 24}; в) {-21; -14}; г) {8; -10}.

927. Указание. Воспользоваться леммой о коллинеарных векторах.

928.

<<< К началу

 

 

???????@Mail.ru