Главная >> Геометрия 7—9 классы. Атанасян

§ 3. Уравнения окружности и прямой

Задачи к § 3. Уравнения окружности и прямой (продолжение)

Использование уравнений окружности и прямой при решении задач

981. Даны две точки А и В. Найдите множество всех точек, для каждой из которых расстояние от точки А в два раза больше расстояния от точки В.

Решение

Введём прямоугольную систему координат так, как показано на рисунке 289,а. Тогда точки А и В имеют координаты А (0; 0), В (а; 0), где а = АВ.

    Рис. 289

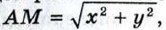
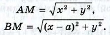
Найдём расстояния от произвольной точки М (х; у) до точек А и В:

Если точка М (х; у) принадлежит искомому множеству, то

    AM = 2ВМ, или AM2 = 4ВМ2.

Поэтому её координаты удовлетворяют уравнению

    х2 + у2 = 4 ((х - а)2 + у2).           (8)

Если же точка М не принадлежит искомому множеству, то её координаты не удовлетворяют этому уравнению.

Следовательно, уравнение (8) и есть уравнение искомого множества точек в выбранной системе координат. Раскрывая скобки и группируя слагаемые соответствующим образом, приводим уравнение (8) к виду

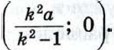
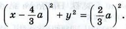
Таким образом, искомым множеством точек является окружность радиуса с центром в точке Эта окружность изображена на рисунке 289, б.

Замечание

Аналогично можно доказать, что множеством всех точек М, удовлетворяющих условию AM = kBM, где k — данное положительное число, не равное единице, является окружность радиуса с центром в точке

Эти окружности, соответствующие различным значениям k ≠ 1, называют окружностями Аполлония, поскольку они рассматривались ещё древнегреческим математиком Аполлонием в его трактате «О кругах» во II в. до н. э.

Если k = 1, то задача сводится к известной нам задаче о нахождении множества всех точек, равноудалённых от точек А и В. Таким множеством, как мы знаем, является серединный перпендикуляр к отрезку АВ.

982. Точка В — середина отрезка АС, длина которого равна 2. Найдите множество всех точек М, для каждой из которых: a) AM2 + ВМ2 + СМ2 = 50; б) AM2 + 2ВМ2 + 3СМ2 = 4.

983. Даны две точки А и В. Найдите множество всех точек М, для каждой из которых AM2 + ВМ2 = k2, где k — данное число.

984. Даны две точки А и В. Найдите множество всех точек М, для каждой из которых AM2 - ВМ2 = k, где k — данное число.

Решение

Введём прямоугольную систему координат так, чтобы точка А была началом координат, а точка В имела координаты (а; 0), где а = АВ. Найдём расстояния от произвольной точки М (х; у) до точек А и В:

Если точка М (х; у) принадлежит искомому множеству, то AM2 - ВМ2 = k, поэтому координаты точки М удовлетворяют уравнению х2 + у2 - (х - а)2 - у2 = k, или 2ах - а2 - k = 0.

Если же точка М не принадлежит искомому множеству, то её координаты не удовлетворяют этому уравнению. Итак, полученное уравнение является уравнением искомого множества точек. Но этим уравнением определяется прямая, параллельная оси Оу, если а2 + k ≠ 0, и сама ось Оу, если a2 + k = 0. Таким образом, искомым множеством точек является прямая, перпендикулярная к прямой АВ.

985. Даны две точки А и B. Найдите множество всех точек М, для каждой из которых ВМ2 - AM2 = 2АВ2.

986. Дан прямоугольник ABCD. Найдите множество всех точек М, для каждой из которых

    (AM2 + DM2) - (ВМ2 + СМ2) = 2АВ2.

987.* Дан ромб ABCD, диагонали которого равны 2а и 2Ь. Найдите множество всех точек М, для каждой из которых

    AM2 + DM2 = ВМ2 + СМ2.

<<< К началу          Ответы >>>

 

 

???????@Mail.ru