Главная >> Геометрия 7—9 классы. Атанасян

§ 1. Синус, косинус, тангенс, котангенс угла

Задачи к § 1. Синус, косинус, тангенс, котангенс угла

1011. Ответьте на вопросы: а) Может ли абсцисса точки единичной полуокружности иметь значения 0,3; -2,8? б) Может ли ордината точки единичной полуокружности иметь значения 0,6; -0,3; 7; 1,002? Ответы обоснуйте.

1012. Проверьте, что точки M1 (0; 1), А (1; 0), В (-1; 0) лежат на единичной полуокружности. Выпишите значения синуса, косинуса и тангенса углов АОМ1, АОМ2, АОМ3, АОМ4, АОВ.

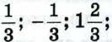
1013. Найдите sin α, если:

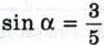
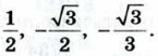
1014. Найдите cos α, если:

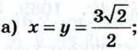
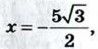
1015. Найдите tg α, если:

    а) cos α = 1; и 0° < α < 90°;

    г) и 90° < α < 180°.

1016. Вычислите синусы, косинусы и тангенсы углов 120°, 135°, 150°.

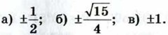
1017. Постройте ∠A, если:

1018. Угол между лучом ОА, пересекающим единичную полуокружность, и положительной полуосью Ох равен α. Найдите координаты точки А, если:

    а) ОА = 3, α = 45°; б) ОА = 1,5, α = 90°; в) ОА = 5, α = 150°;
    г) ОА = 1, α= 180°; д) ОА = 2, α = 30°.

1019. Найдите угол между лучом ОА и положительной полуосью Ох, если точка А имеет координаты:

    а) (2; 2); б) (0; 3); в) (-√3; 1); г) (-2√2; 2√2).

Ответы к задачам § 1. Синус, косинус, тангенс, котангенс угла

    1013.

    1014.

    1015. а) 0;

    1016. -1;

    1018. б) х = 0, у = 1,5; в) у = 2,5; г) х = -1, у = 0; д) х = ∠3, у = 1.

    1019. а) 45°; б) 90°; в) 150°; г) 135°.

 

 

???????@Mail.ru